Dernière mise à jour :
18/03/2026
Antibiotique   Spiramycine adipate  
injectable
Stabilité des solutions Stabilité en mélange Facteur influençant la stabilité Compatibilités Voie d’administration Bibliographie pdf
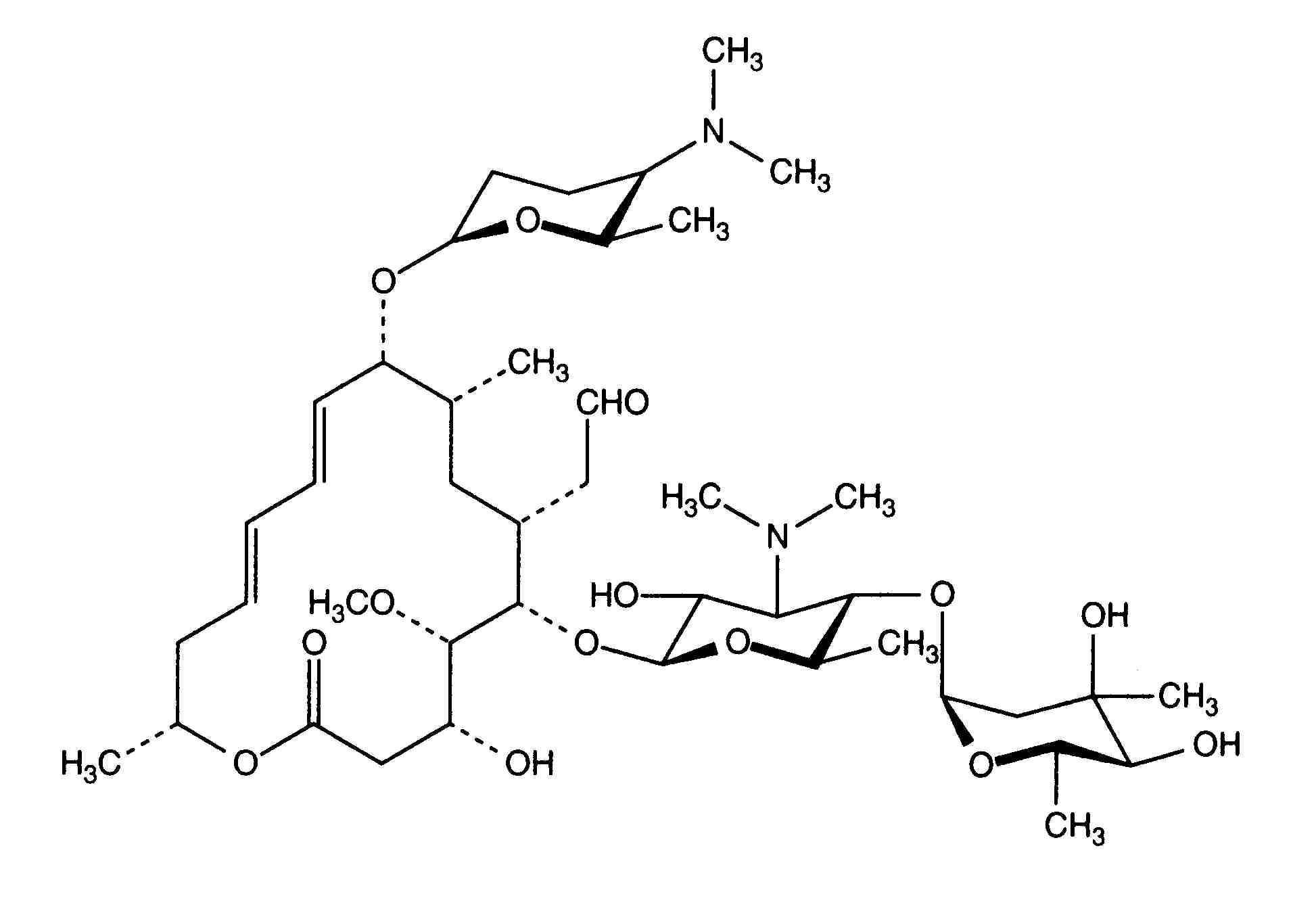
   Structure chimique  

Noms commerciaux   Noms commerciaux     

Les noms commerciaux sont donnés à titre indicatif et la composition en excipients peut être différente selon les pays et selon les laboratoires

Rovamycine France, Pologne
Stabilité des solutions   injectable   Stabilité des solutions : Spiramycine adipate     
Contenant Solvant Concentration Température Conservation Durée de stabilité Bibliographie
Verre Eau pour préparation injectable 0.375 MUI/ml ? Non précisée
12 Heure
3563
Données de stabilité du fabricant


  Mentions Légales