Последнее обновление :
27/11/2025
Антибиотик   Spiramycine adipate  
Инъекция
Стабильность растворов Стабильность смесей Факторы, которые влияют на стабильность Совместимость Способы введения Библиография pdf
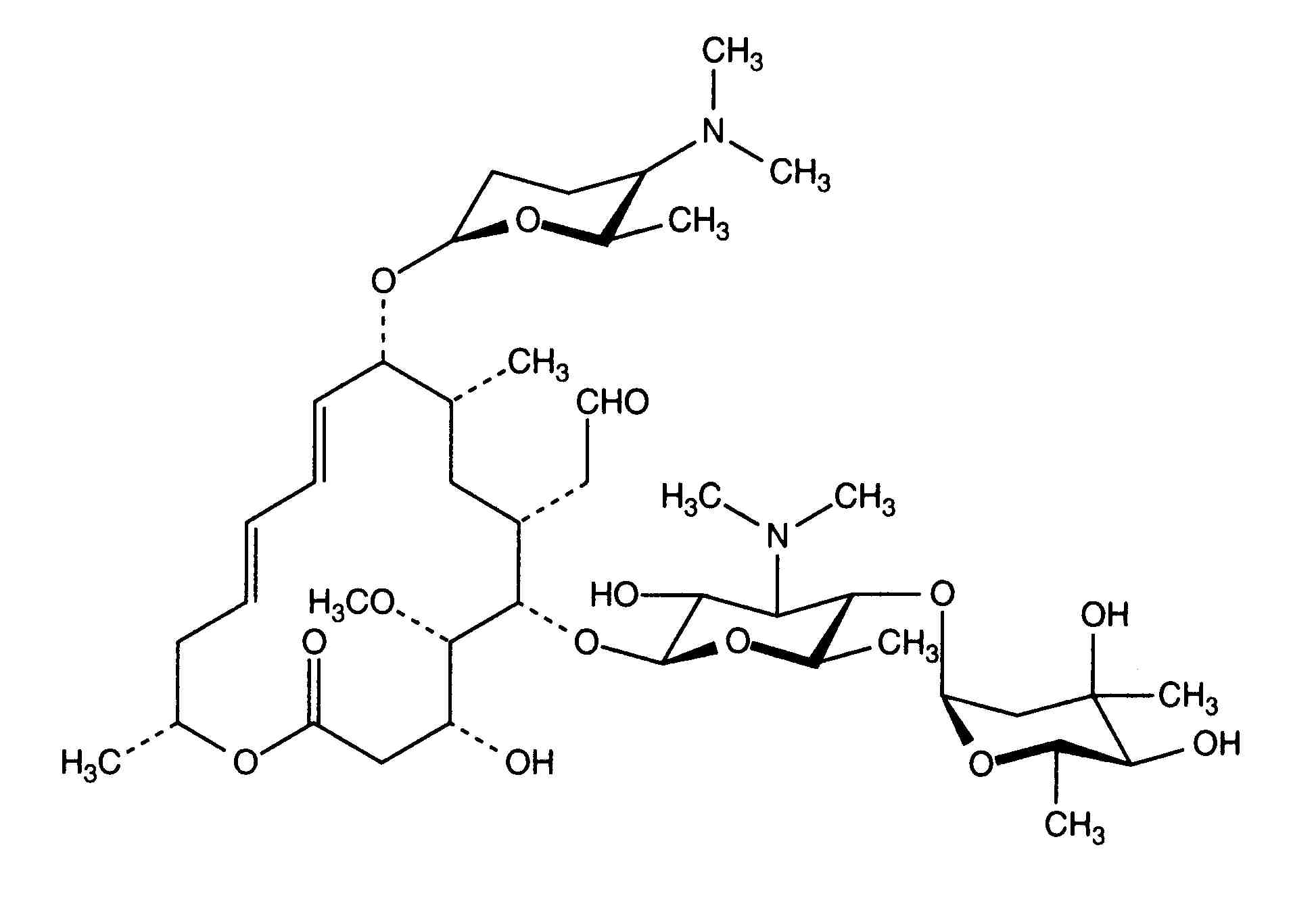
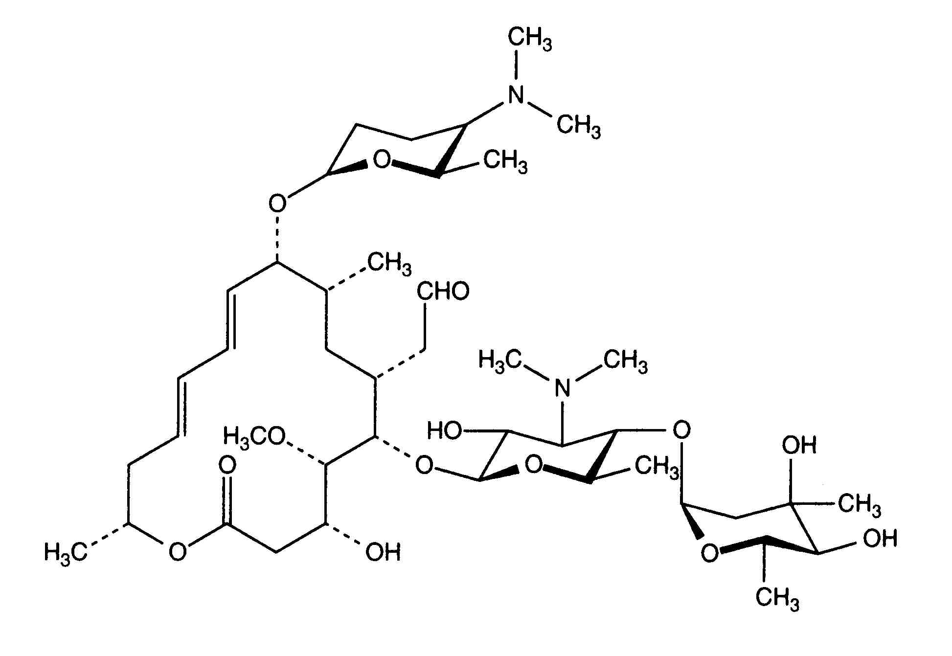
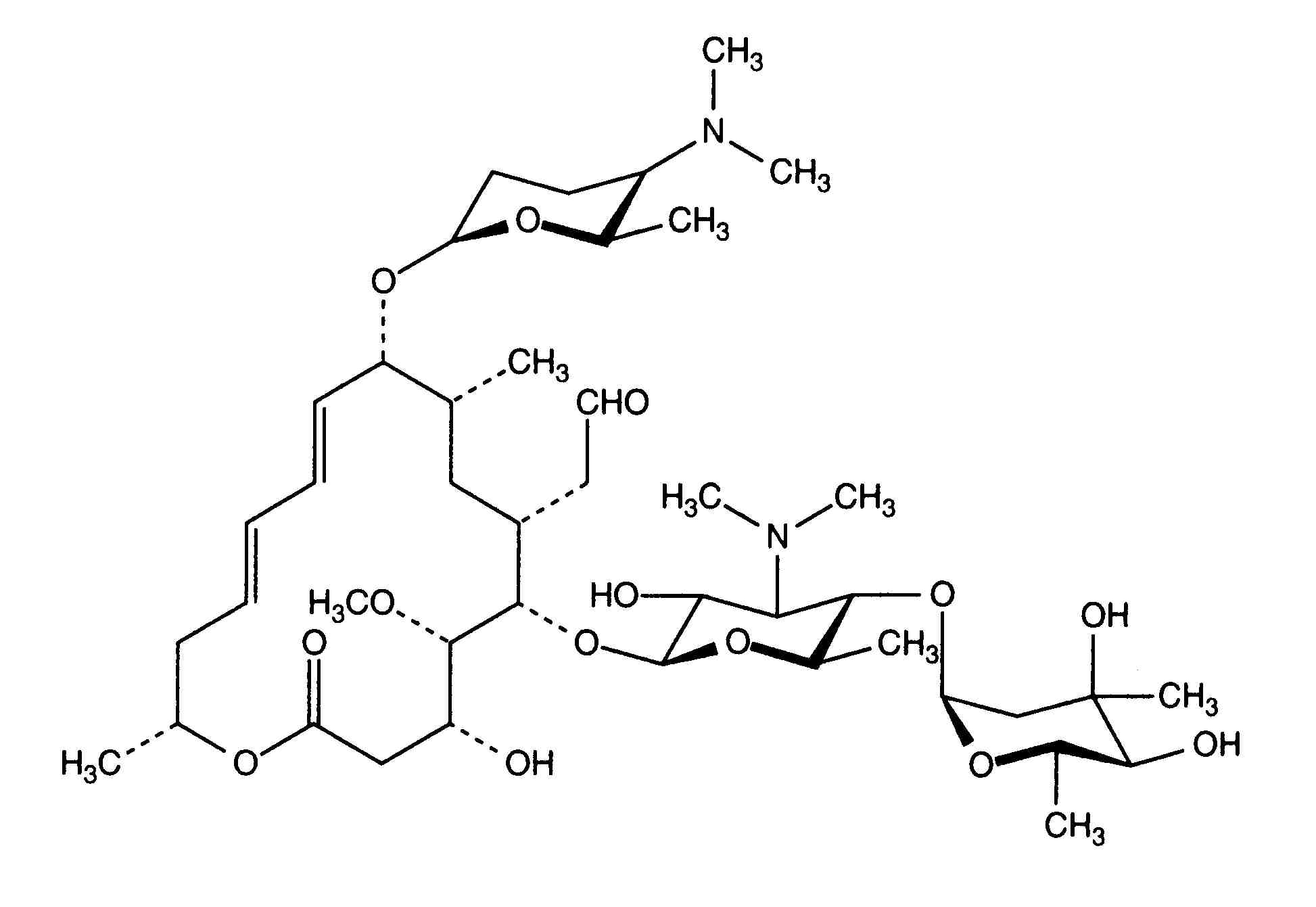
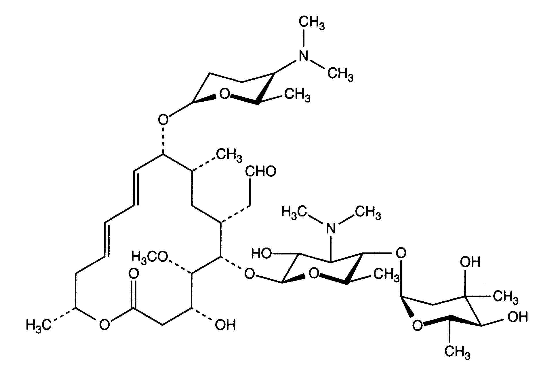
   Химическая структура  

Товарное название   Товарное название     

Trade names are indicative and excipients composition can be different depending on the country and manufacturers

Rovamycine Польша, Франция
Стабильность растворов   Инъекция   Стабильность растворов : Spiramycine adipate     
Упаковка Растворитель Концентрация Температура Хранение Продолжительность стабильности Ссылки
Стекло Вода для инъекций 0.375 MUI/ml ? Не указано
12 Час
3563
Данные по стабльности от изготовителя


  Mentions Légales