Pēdējā atjaunošana :
27/11/2025
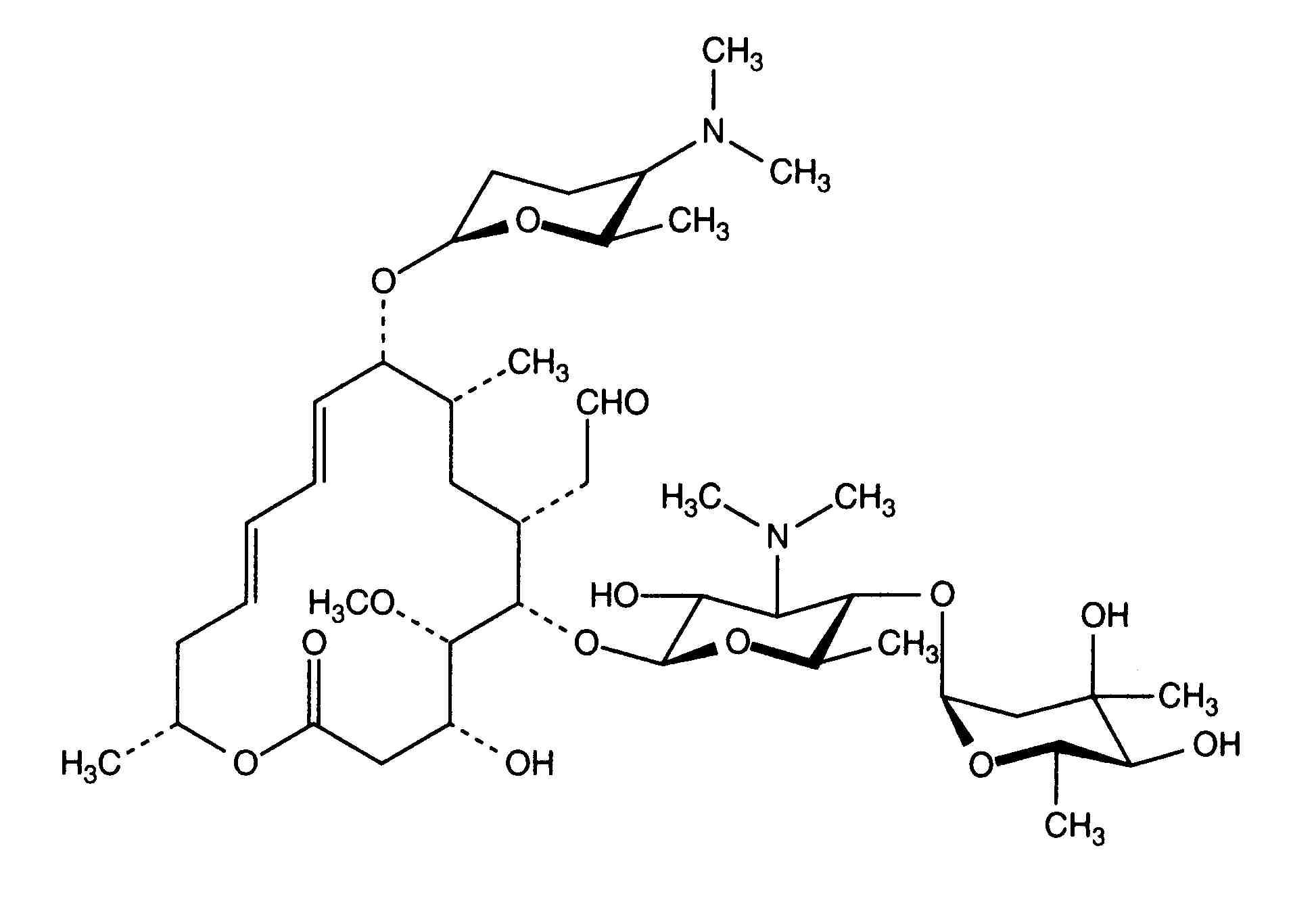
Antibiotika   Spiramycine adipate  
Injekcija
Šķīduma stabilitāte Maisījuma stabilitāte Stabilitāti ietekmējoši faktori Saderība Levadīšanas veids Literatūras saraksts pdf
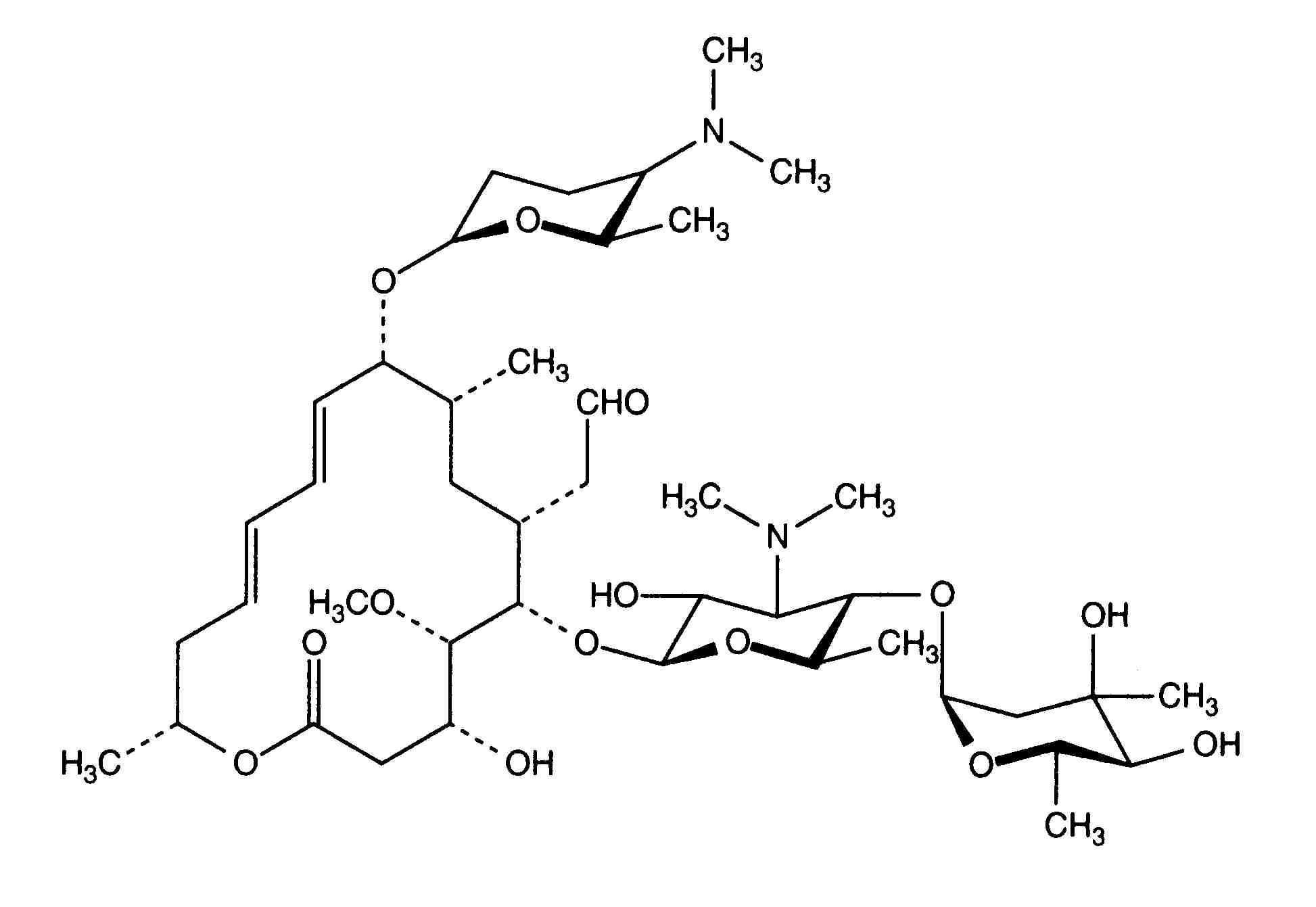
   Ķīmiskā uzbūve   

Oriģinālais nosaukums   Oriģinālais nosaukums     

Tirdzniecības nosaukumi ir apzīmējoši un palīgvielas var atšķirties dažādām valstīm un laboratorijām

Rovamycine Francija, Polija
Šķīduma stabilitāte   Injekcija   Šķīduma stabilitāte : Spiramycine adipate     
Iepakojums Šķīdinātājs Koncentrācija Temperatūra Glabāšana Stabilitātes ilgums Literatūras saraksts
Stikls Ūdens injekcijām 0.375 MUI/ml ? Nav specifisks
12 Stunda
3563
Ražotāja stabilitātes dati


  Mentions Légales