Siste oppdatering :
18/03/2026
Antibiotika   Spiramycine adipate  
Injeksjon
Oppløsningsstabilitet Stabilitet i blandinger Faktorer som påvirker stabiliteten Kompatibilitet Administrasjonsmåte Referanser pdf
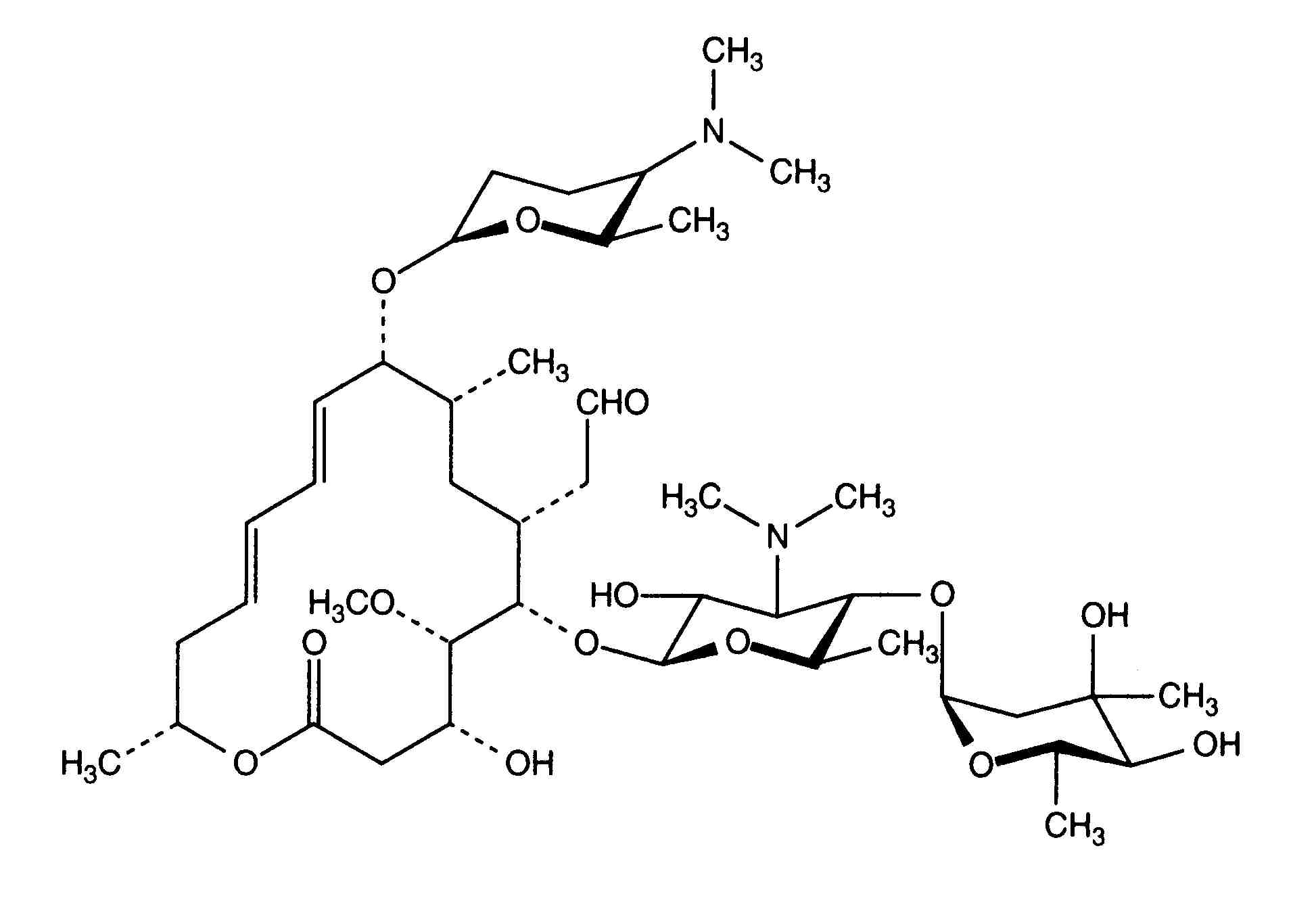
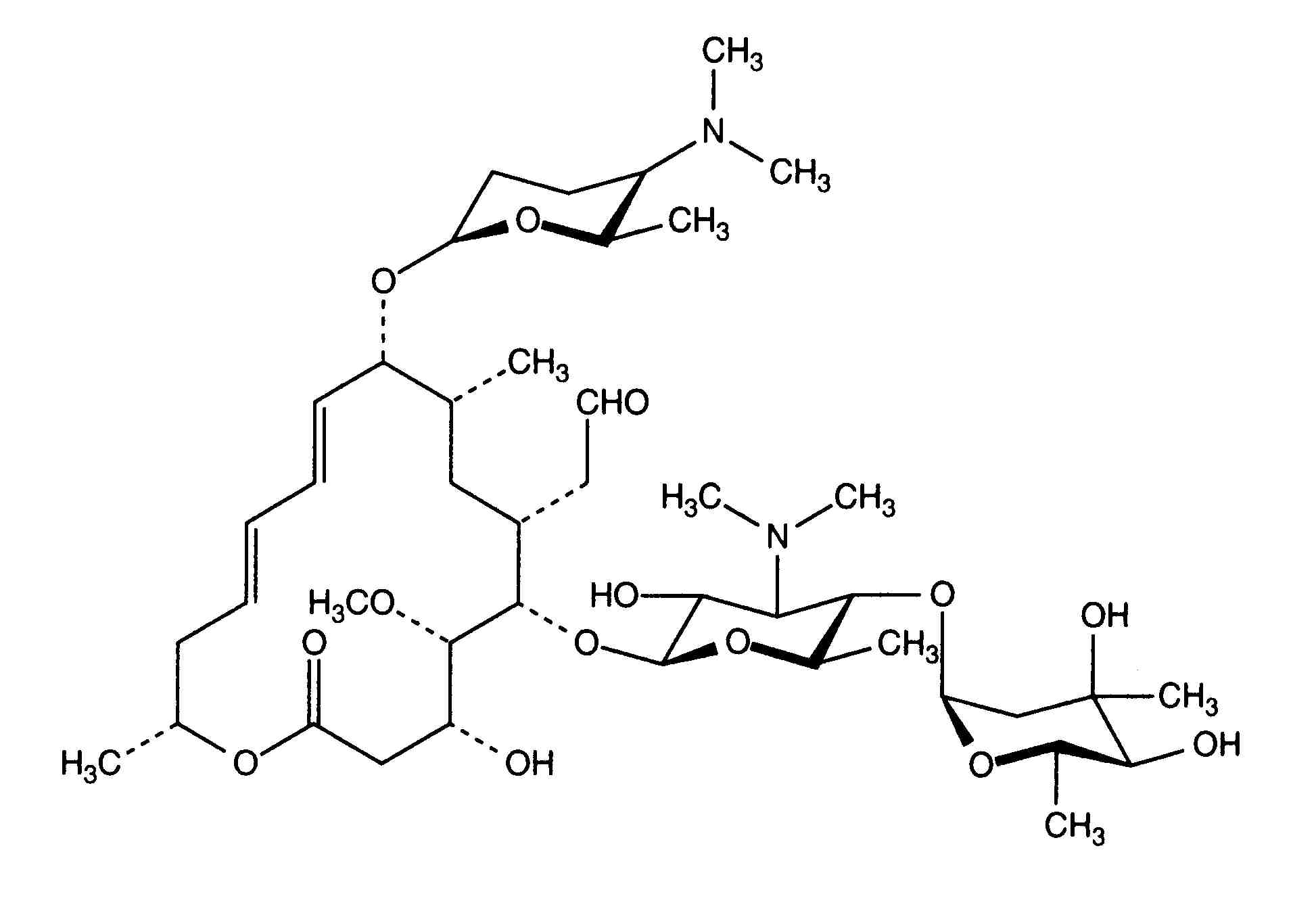
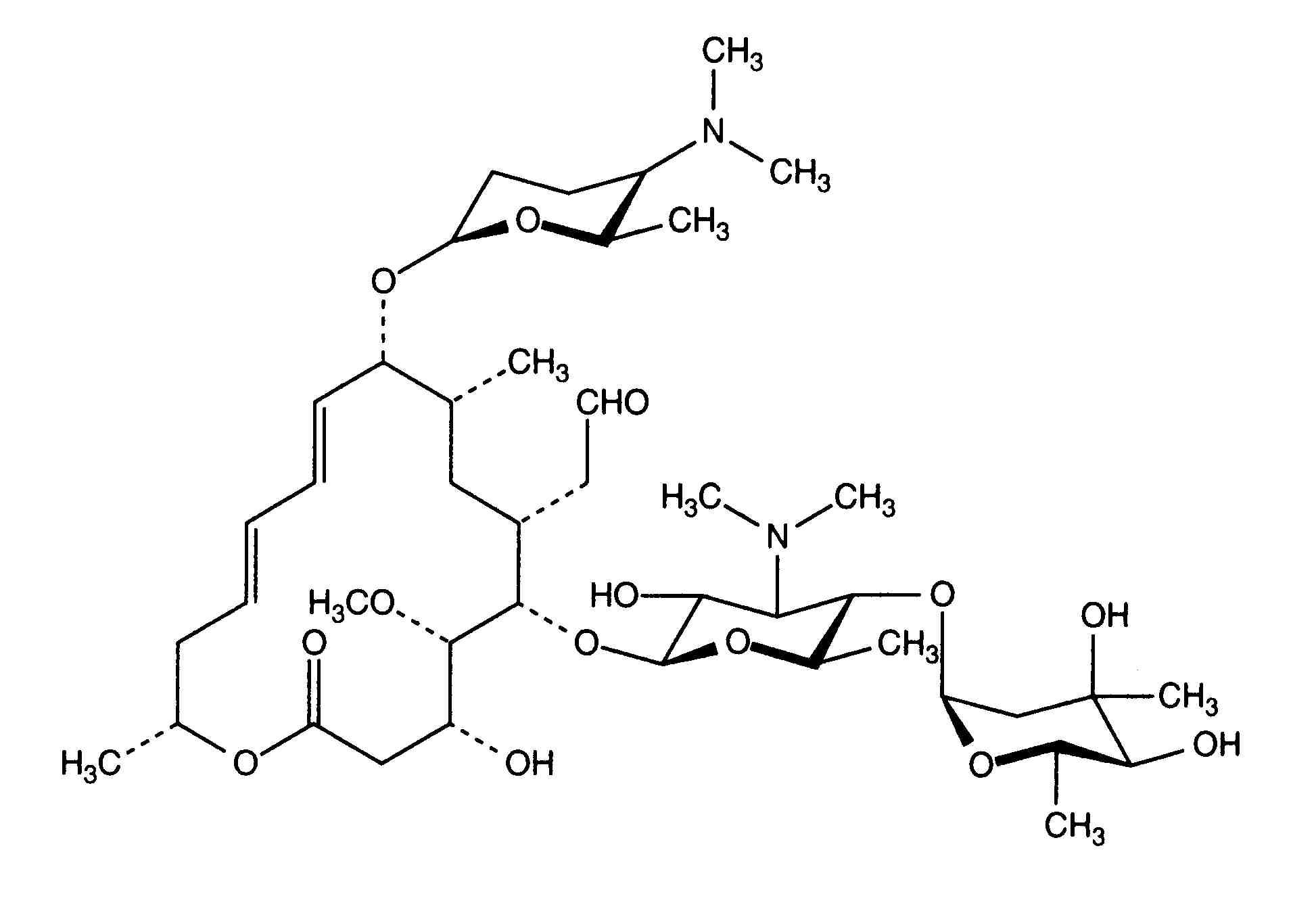
   Kjemisk struktur  

Handelsnavn   Handelsnavn     

Handelsnavn er veiledende og sammensetning av hjelpestoffer kan være forskjellig avhengig av land og produsent

Rovamycine Frankrike, Polen
Oppløsningsstabilitet   Injeksjon   Oppløsningsstabilitet : Spiramycine adipate     
Beholder Oppløsningsmiddel Konsentrasjon Temperatur Oppbevaring Varighet av stabilitet Referanser
Glass Vann til injeksjon 0.375 MUI/ml ? Ikke angitt
12 Tid
3563
Stabilitetsopplysninger fra produsent


  Mentions Légales