Ultimele actualizari :
18/03/2026
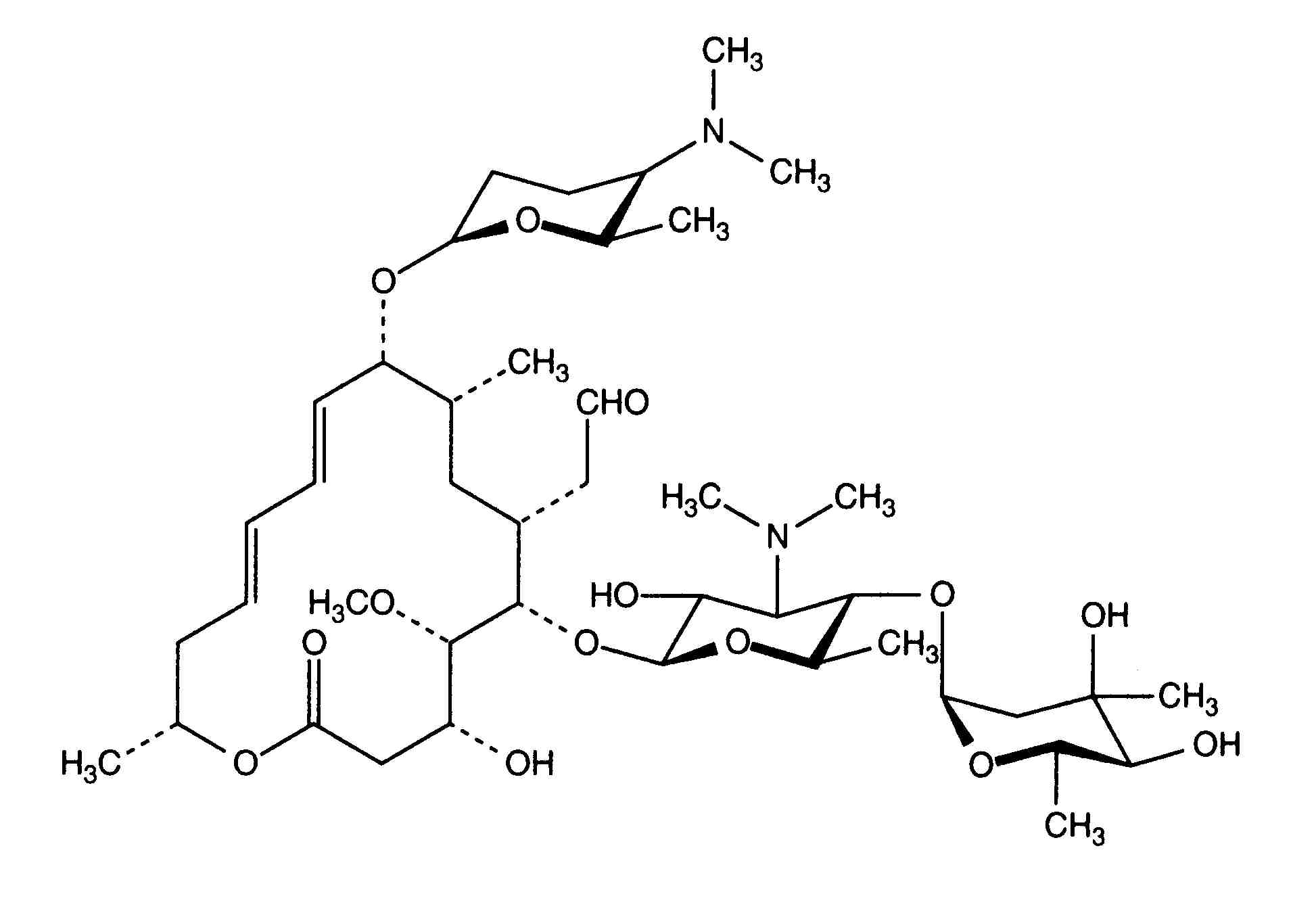
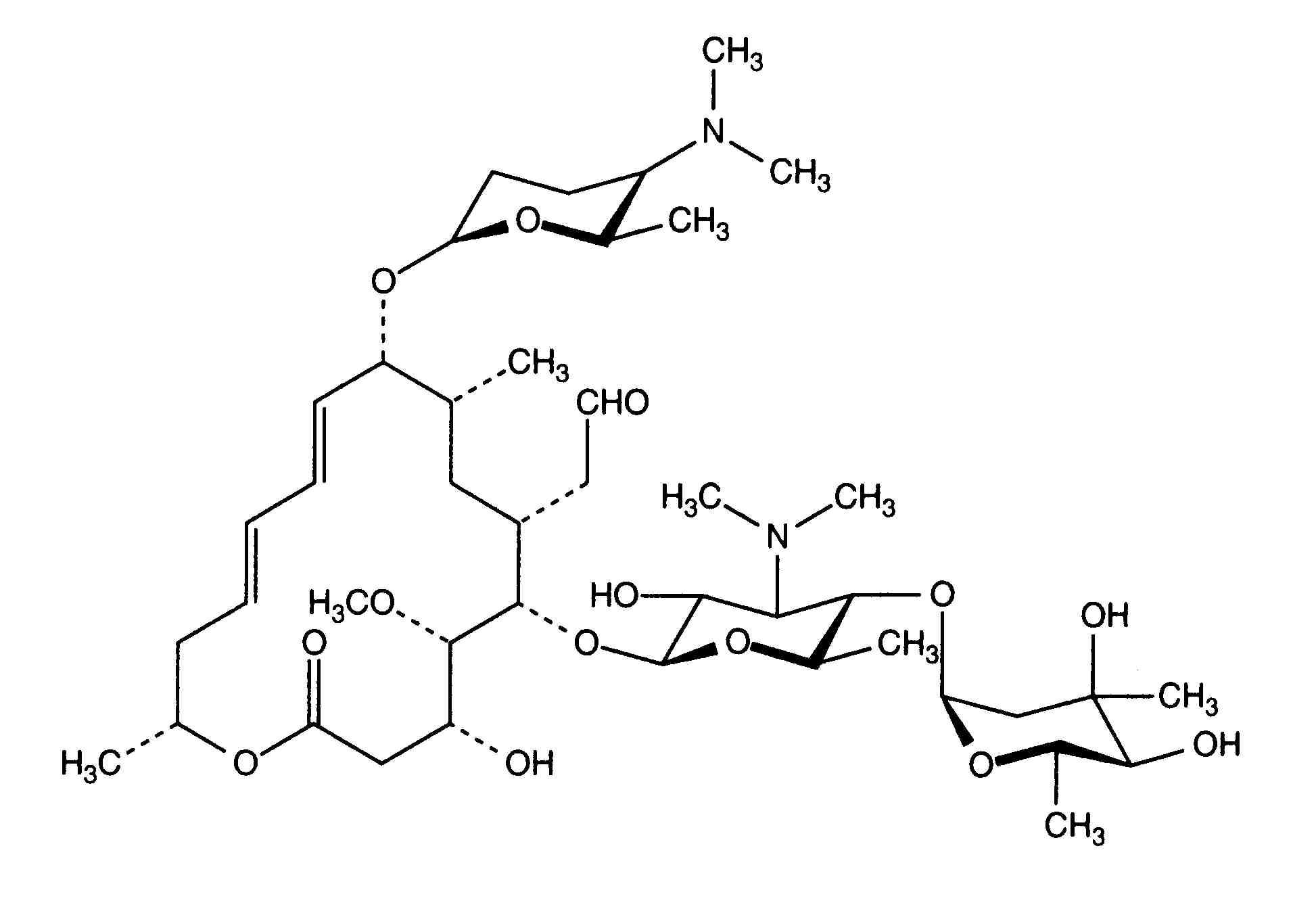
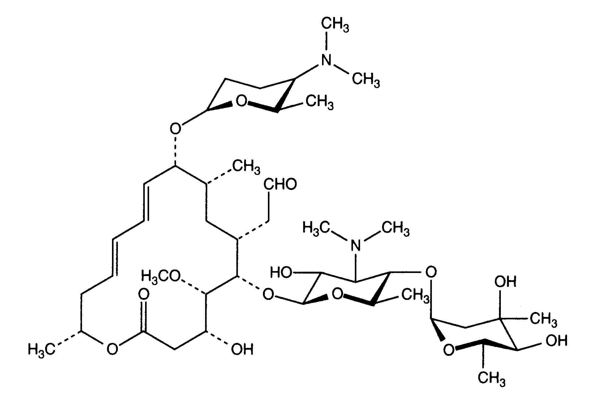
Antibiotic   Spiramycine adipate  
Injectabil
Stabilitatea in solutie Stabilitatea in amestec Factorii care influenteaza stabilitatea Compatibilitate Microunde Bibliografie pdf
   Formula chimica  

Denumirea comerciala   Denumirea comerciala     

Trade names are indicative and excipients composition can be different depending on the country and manufacturers

Rovamycine Franta, Polonia
Stabilitatea in solutie   Injectabil   Stabilitatea in solutie : Spiramycine adipate     
Continut Solvent Concentratie Temperatura Conservare Durata stabilității Bibiografie
sticla apa pentru preparate injectabile 0.375 MUI/ml ? Neprecizat
12 Ora
3563
Documentele de stabilitate ale producătorului


  Mentions Légales