Seneste opdatering :
18/03/2026
Antibiotisk   Spiramycine adipate  
Injektion
Stabilitet i (vandige) opløsninger Stabilitet i blandinger Faktorer der påvirker stabiliteten Kompatibilitet Administrationsvej Bibliografi pdf
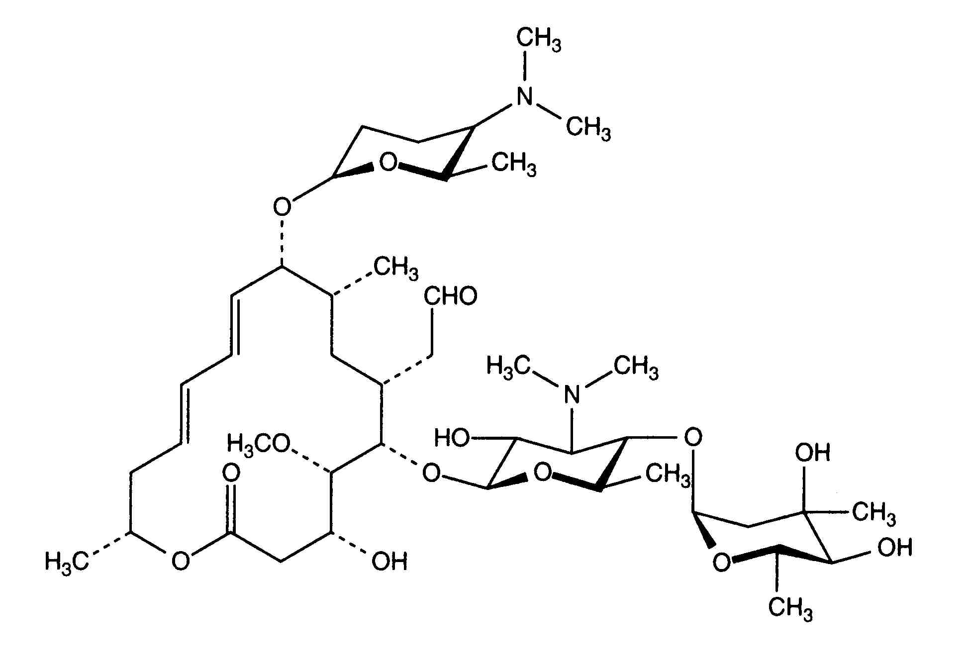
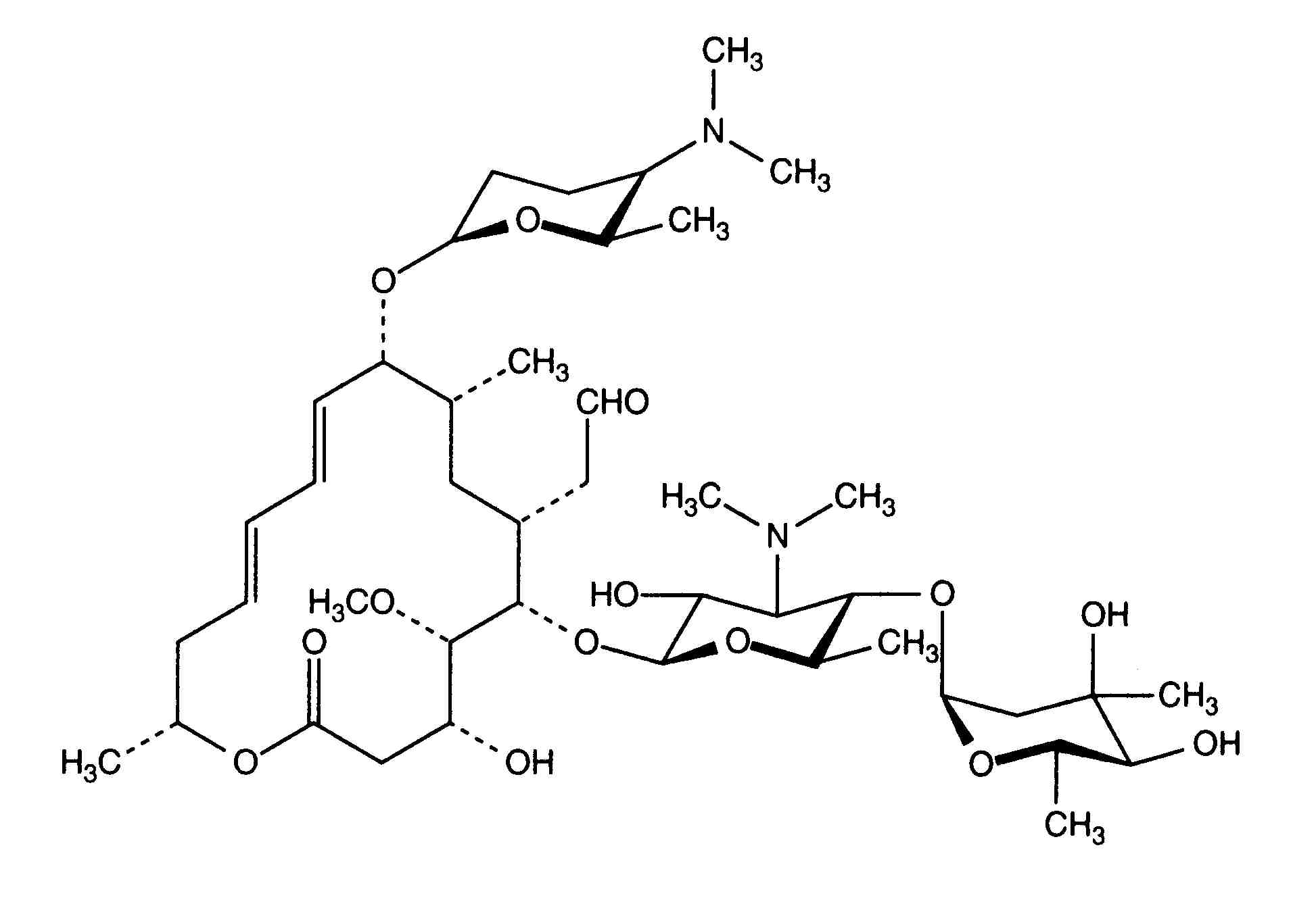
   Kemisk struktur  

Handelsnavn   Handelsnavn     

Handel navne er vejledende og hjælpestoffer sammensætning kan være forskellig afhængigt af landet og laboratorier

Rovamycine Frankrig, Polen
Stabilitet i (vandige) opløsninger   Injektion   Stabilitet i (vandige) opløsninger : Spiramycine adipate     
Beholder Opløsningsmiddel Koncentration Temperatur Konservering Varighed af stabilitet Bibliografi
Glas Vand til injektion 0.375 MUI/ml ? Ikke nærmere angivet
12 Time
3563
Producentens stabilitet data


  Mentions Légales