Cập nhật lần cuối :
31/03/2026
Kháng sinh   Spiramycine adipate  
Dạng tiêm
Tính ổn định của các dung dịch Độ ổn định khi trộn lẫn Những yếu tố ảnh hưởng đến độ ổn định Khả năng tương thích Đường dùng Tài liệu tham khảo Pdf
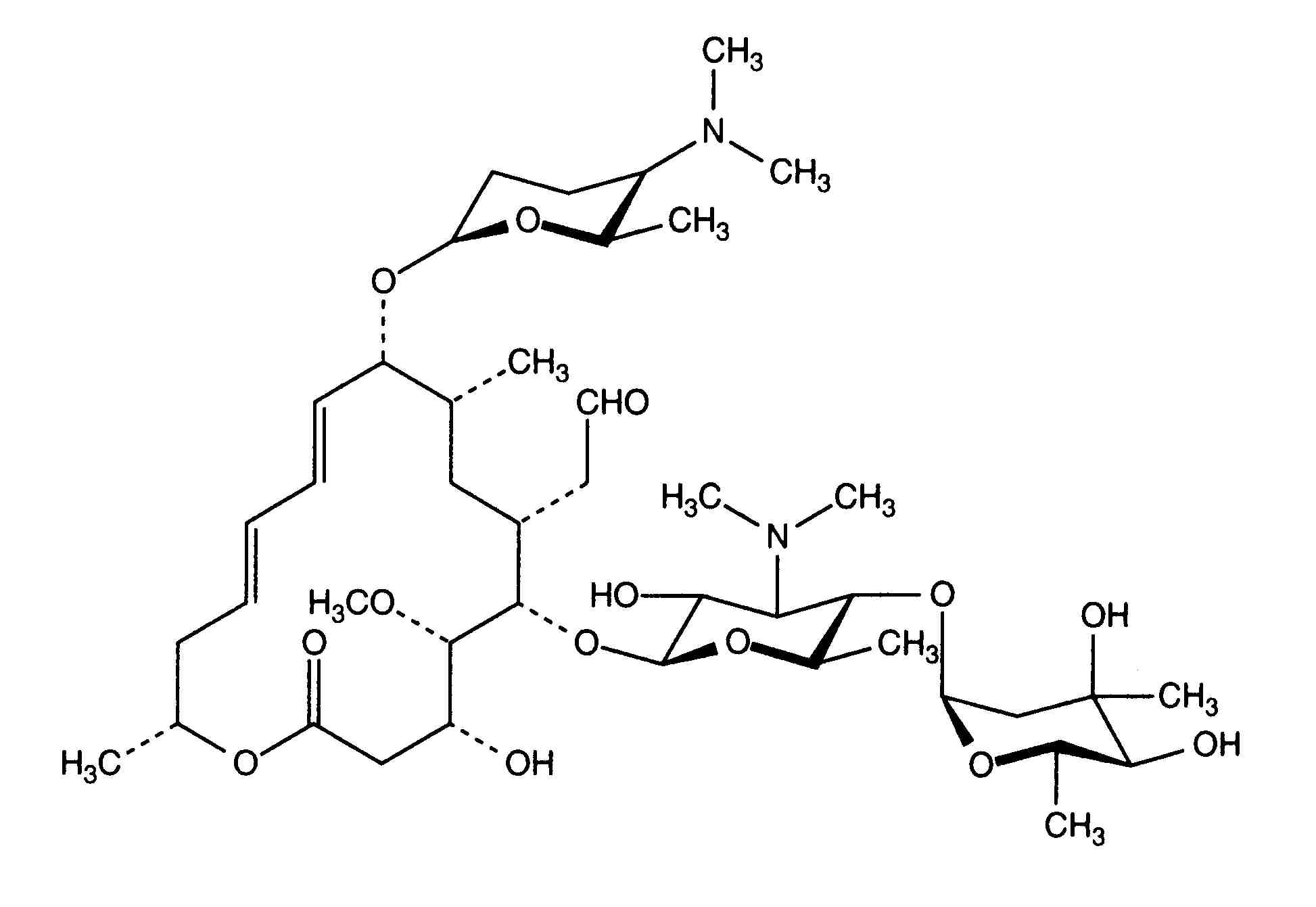
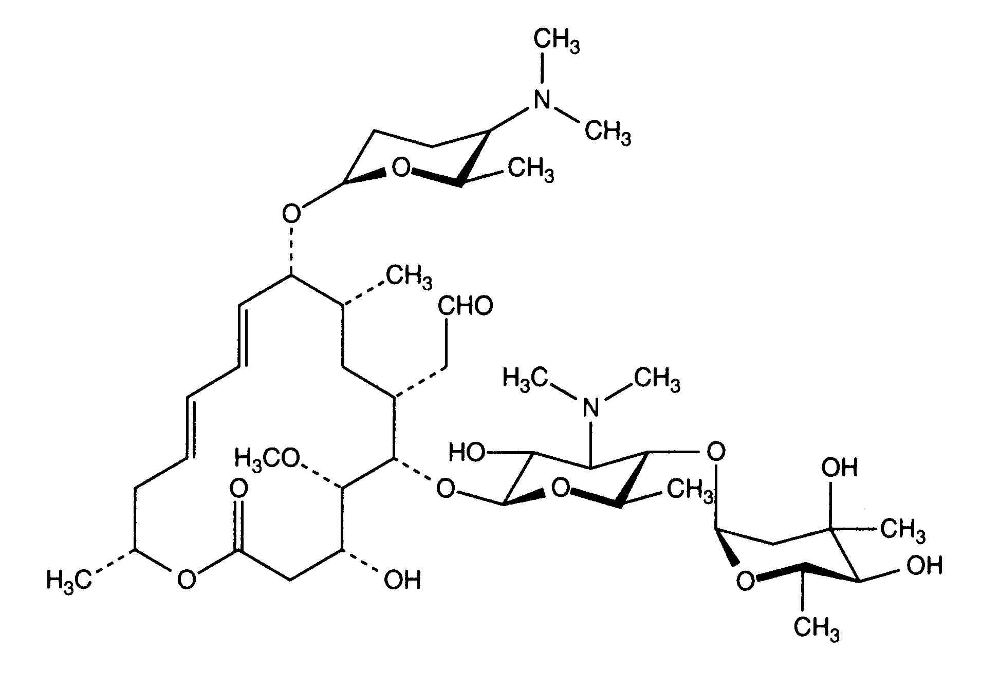
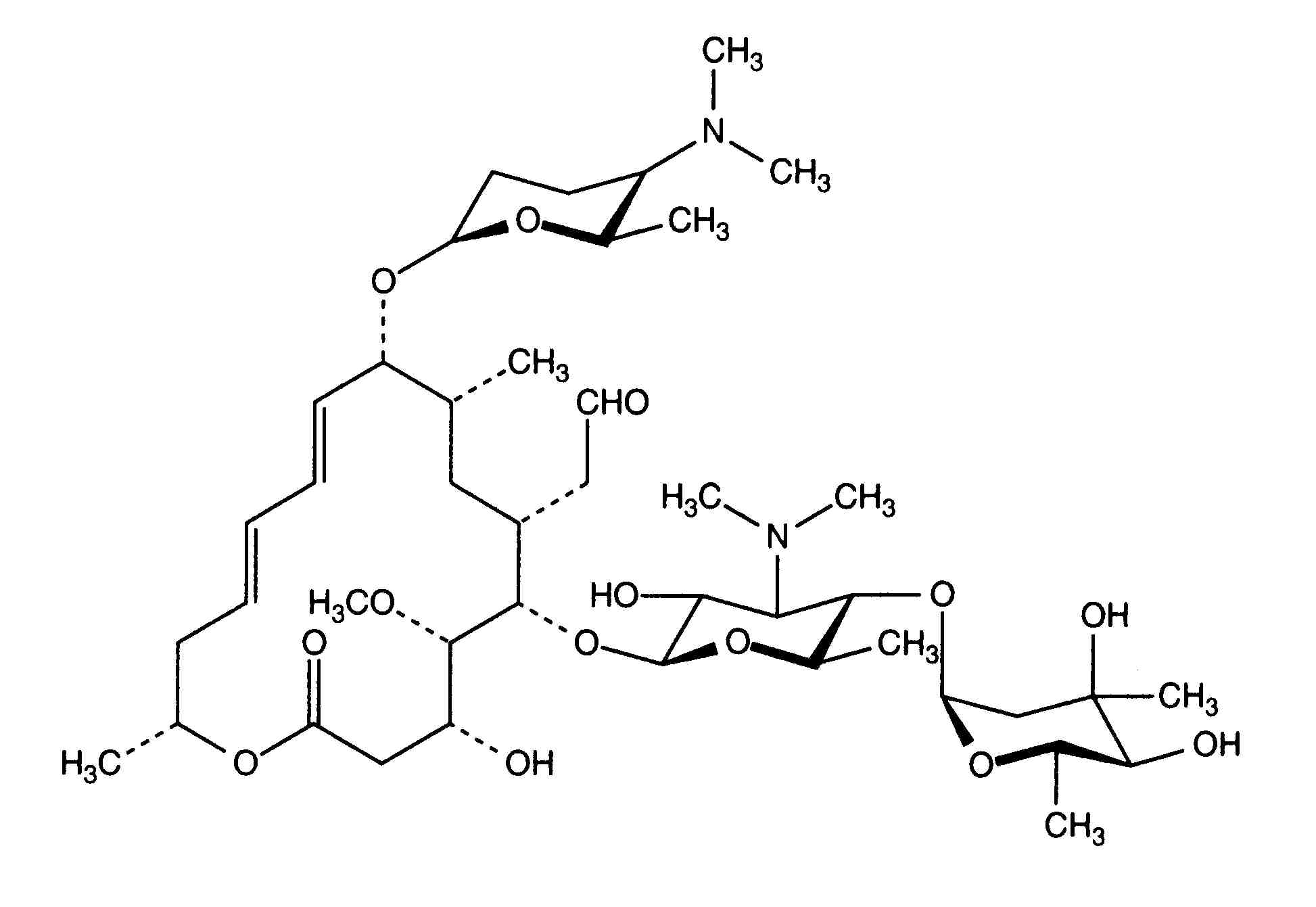
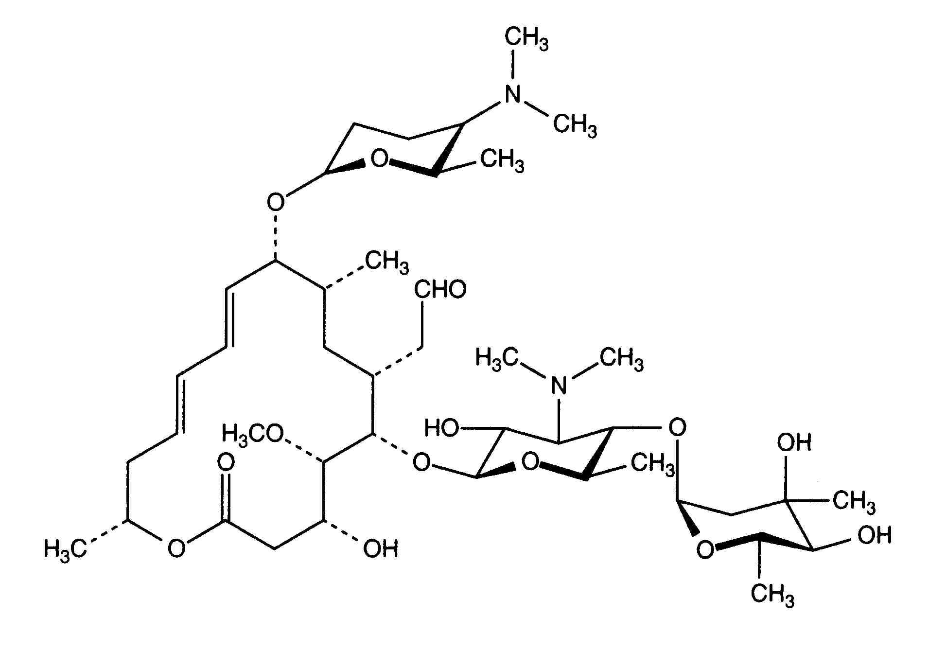
   Cấu trúc hóa học  

Tên thương mại   Tên thương mại     

Các tên thương mại được cung cấp và thành phần tá dược có thể khác nhau giữa các quốc gia và các hãng dược

Rovamycine Ba Lan, Pháp

Những yếu tố ảnh hưởng đến độ ổn định   Dạng tiêm   Những yếu tố ảnh hưởng đến độ ổn định : Spiramycine adipate        
Không có dữ liệu

  Mentions Légales