Dernière mise à jour :
31/03/2026
Antibiotique   Spiramycine adipate  
injectable
Stabilité des solutions Stabilité en mélange Facteur influençant la stabilité Compatibilités Voie d’administration Bibliographie pdf
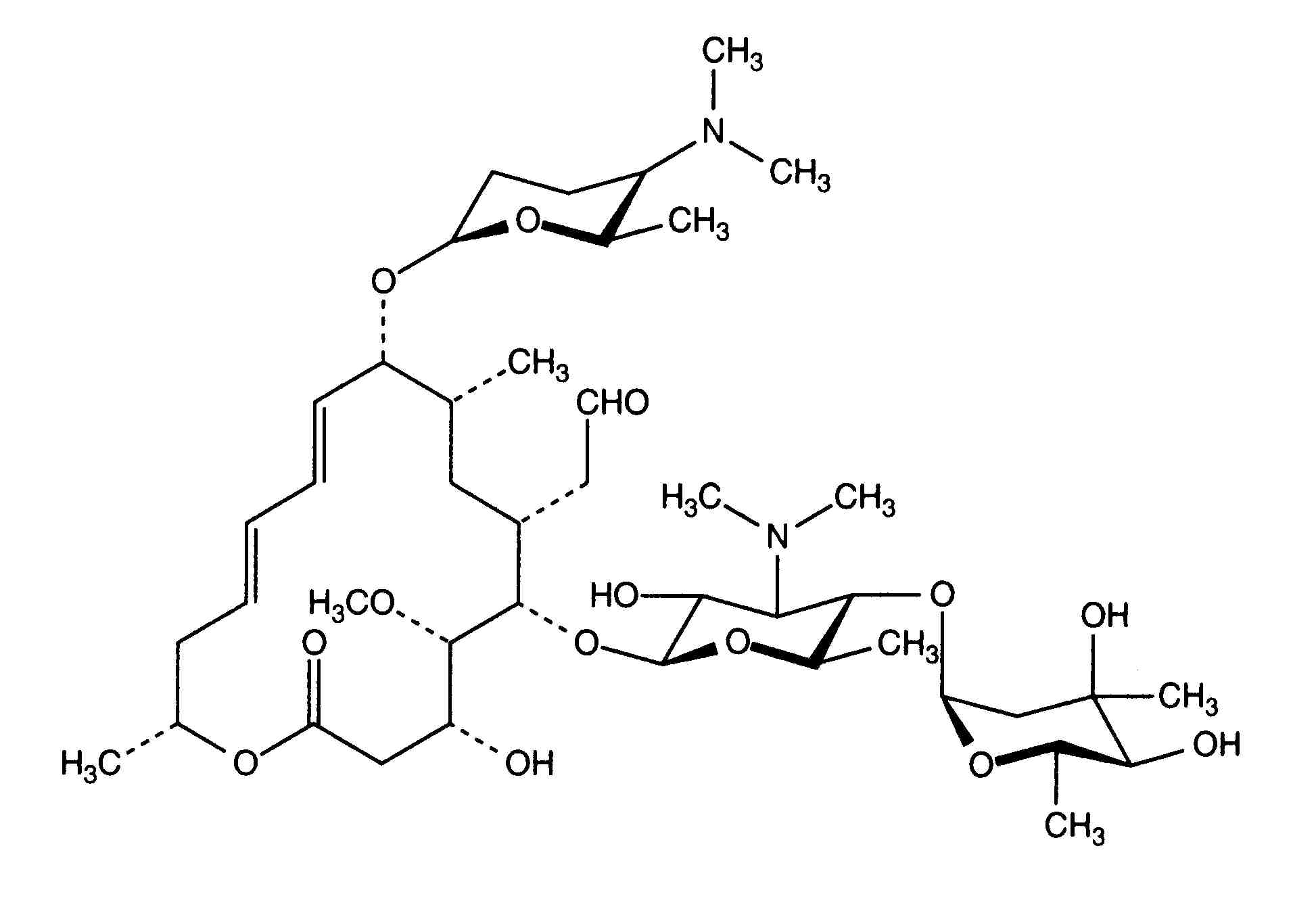
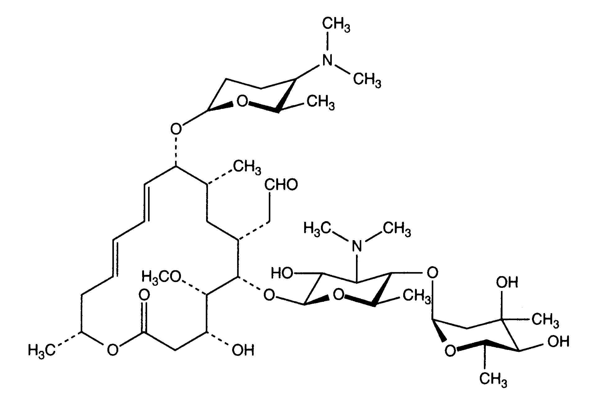
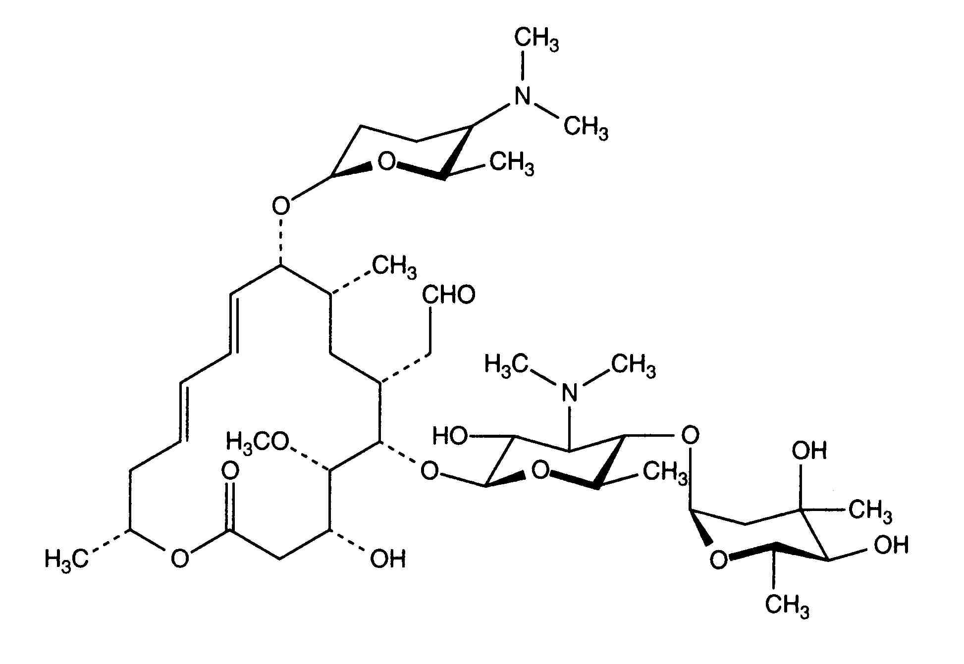
   Structure chimique  

Noms commerciaux   Noms commerciaux     

Les noms commerciaux sont donnés à titre indicatif et la composition en excipients peut être différente selon les pays et selon les laboratoires

Rovamycine France, Pologne

Facteur influençant la stabilité   injectable   Facteur influençant la stabilité : Spiramycine adipate        
Aucune donnée

  Mentions Légales