Posledná aktualizácia :
31/03/2026
antibiotikum   Spiramycine adipate  
Injekcia
Stabilita roztokov Stabilita v zmesiach Faktory ovplyvňujúce stabilitu Kompatibility spôsob podania Odkazy na literatúru PDF
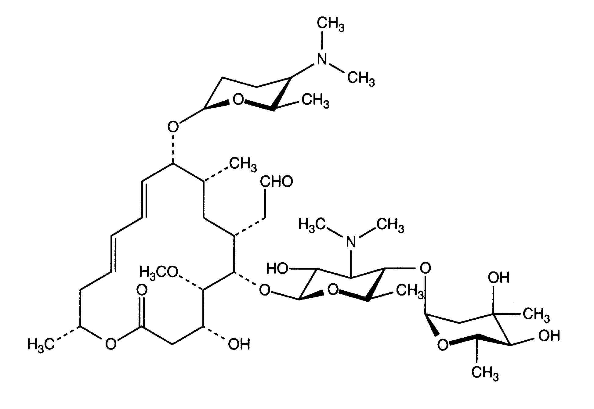
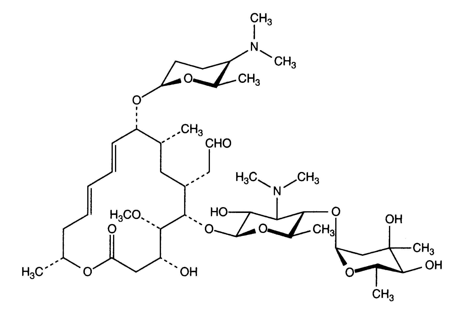
   Chemický vzorec  

Obchodný názov   Obchodný názov     

Obchodné názvy sú orientačné, a zloženie pomocných látok sa môže líšiť v závislosti od krajiny a výrobcu.

Rovamycine Francúzsko, Poľsko

Faktory ovplyvňujúce stabilitu   Injekcia   Faktory ovplyvňujúce stabilitu : Spiramycine adipate        
žiadne údaje

  Mentions Légales