Ultimo aggiornamento :
31/03/2026
Antibiotico   Spiramycine adipate  
Iniezione
Stabilità in soluzione Stabilità in miscela Fattori che influenzano la stabilità Compatibilità metodo di iniezione Bibliografia pdf
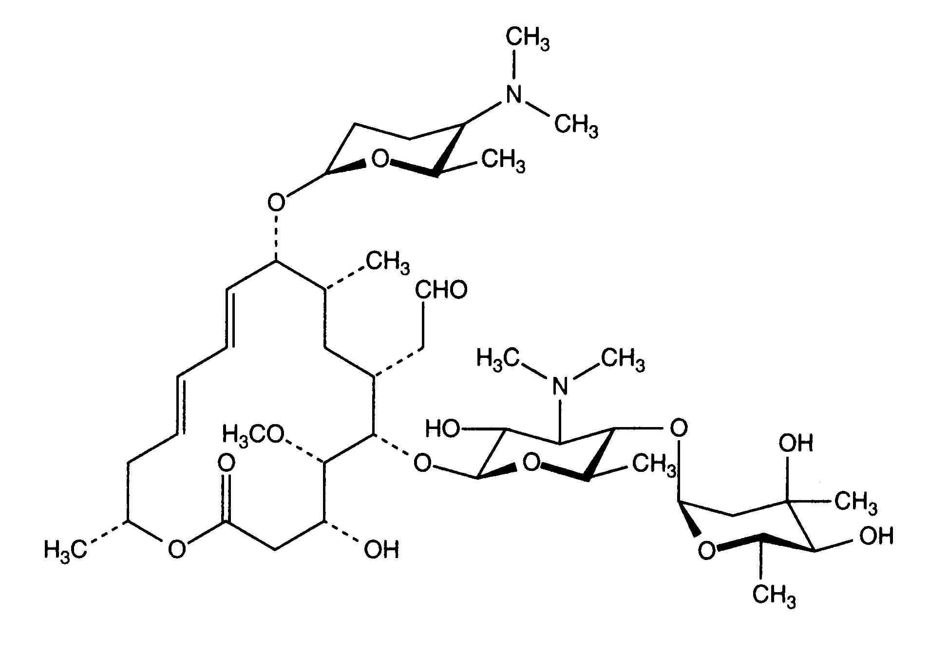
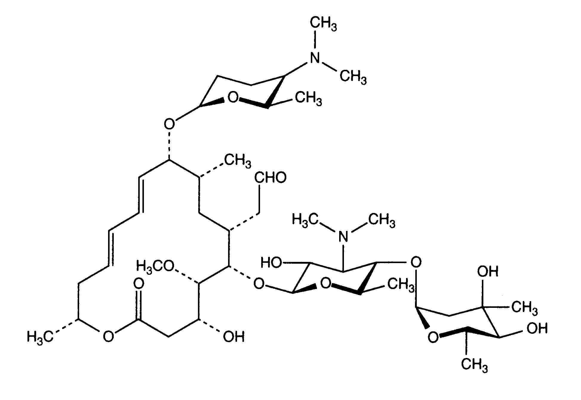
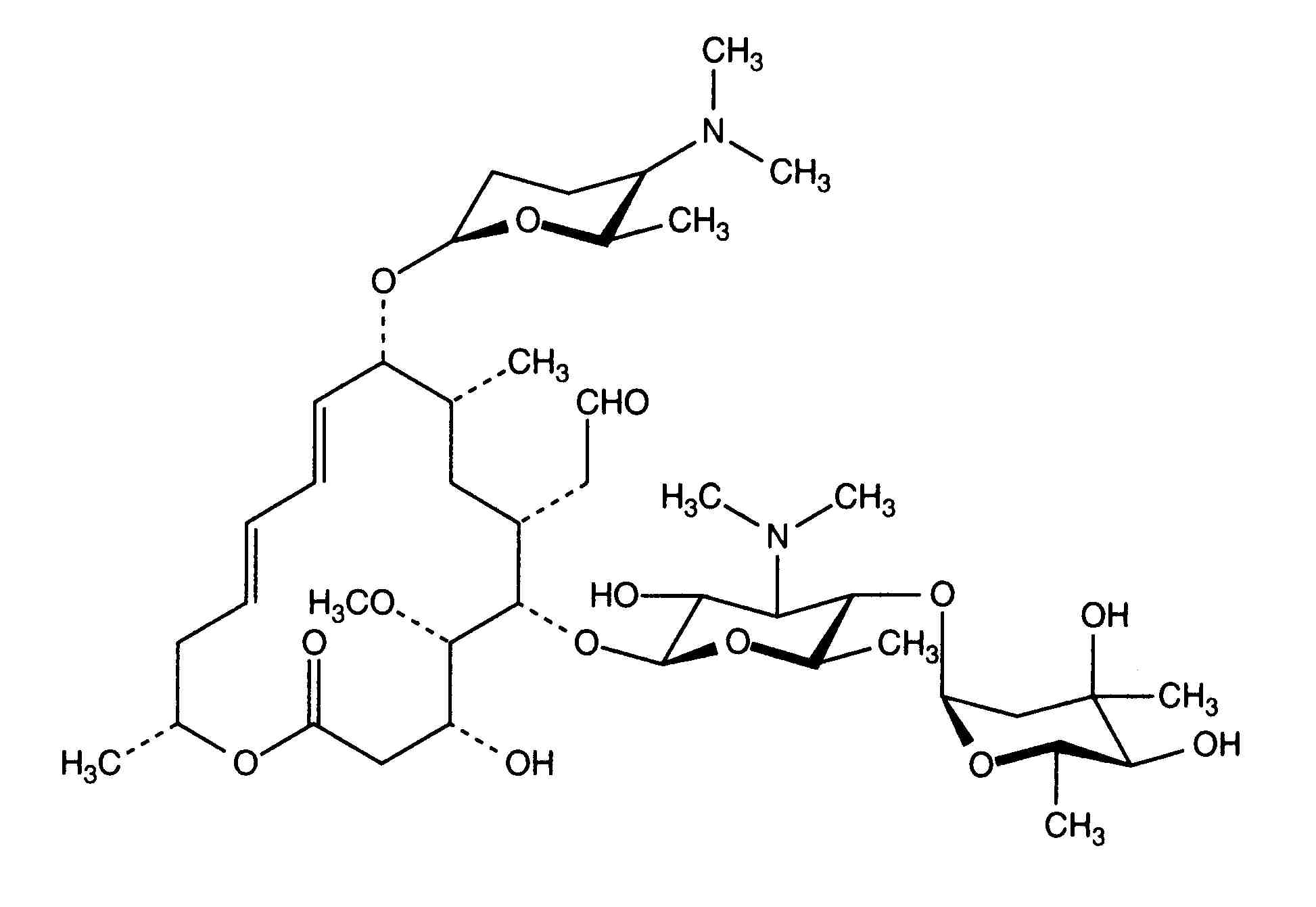
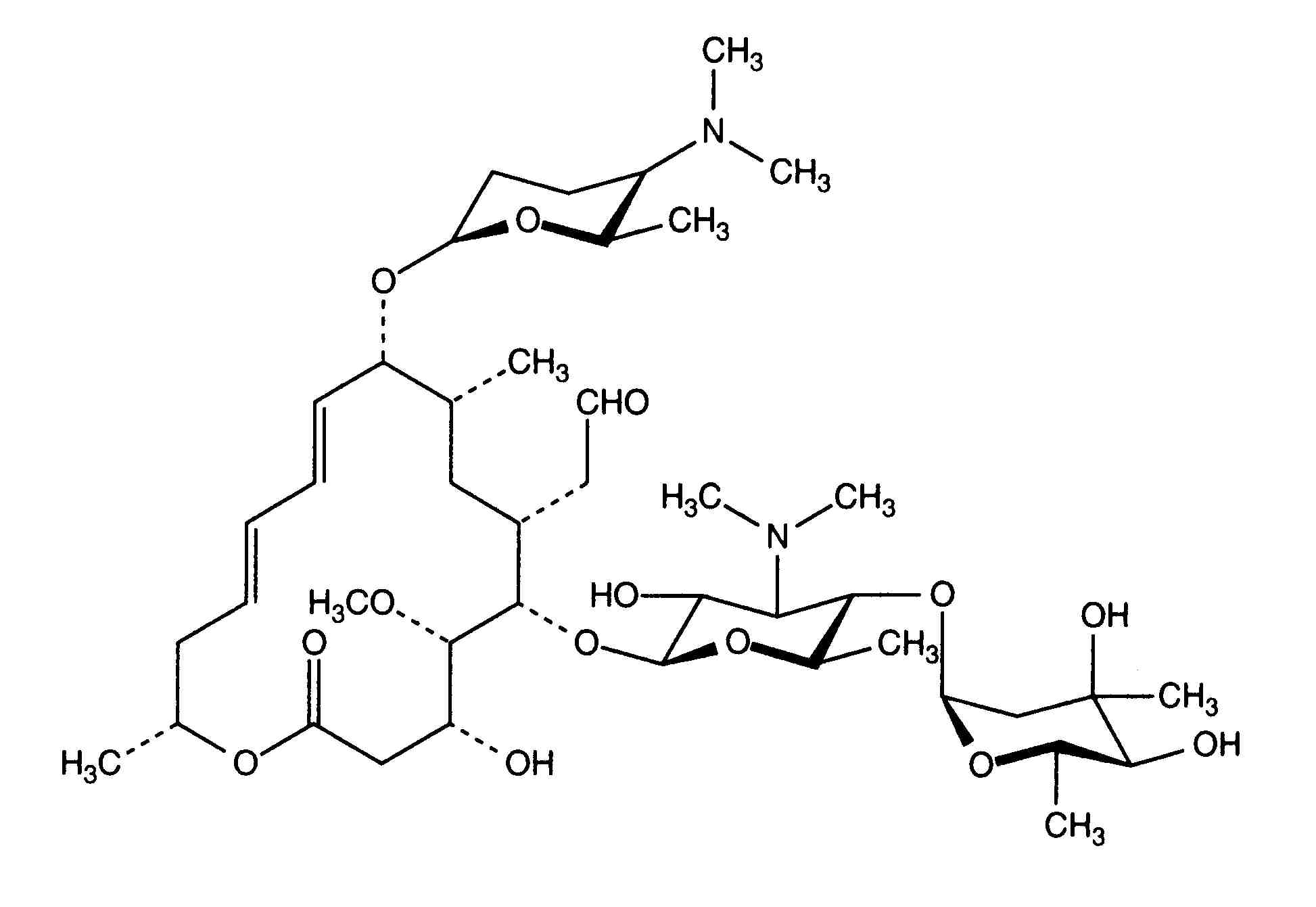
   Struttura chimica  

Nome commerciale   Nome commerciale     

Trade names are indicative and excipients composition can be different depending on the country and manufacturers

Rovamycine Francia, Polonia

Fattori che influenzano la stabilità   Iniezione   Fattori che influenzano la stabilità : Spiramycine adipate        
Assenza di dati

  Mentions Légales