Ostatnia aktualizacja :
31/03/2026
Antybiotyk   Spiramycine adipate  
Injekcje
Trwałość roztworów Trwałość w mieszaninie Czynnik wpływający na trwałość Zgodność Sposób podania Bibliografia pdf
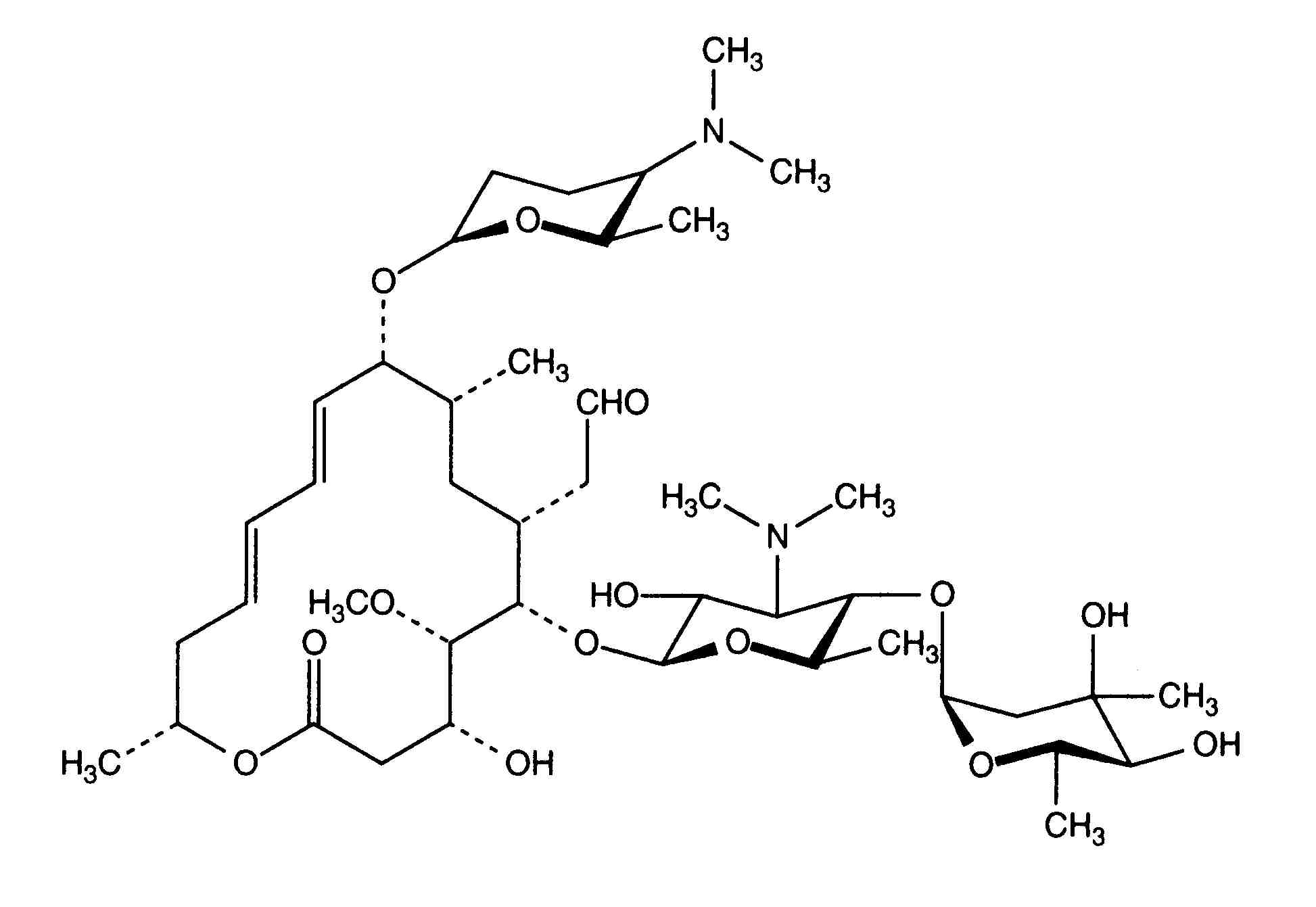
   Struktura chemiczna  

Nazwa handlowa   Nazwa handlowa     

Trade names are indicative and excipients composition can be different depending on the country and manufacturers

Rovamycine Francja , Polska

Czynnik wpływający na trwałość   Injekcje   Czynnik wpływający na trwałość : Spiramycine adipate        
Brak danych

  Mentions Légales