Última actualización :
31/03/2026
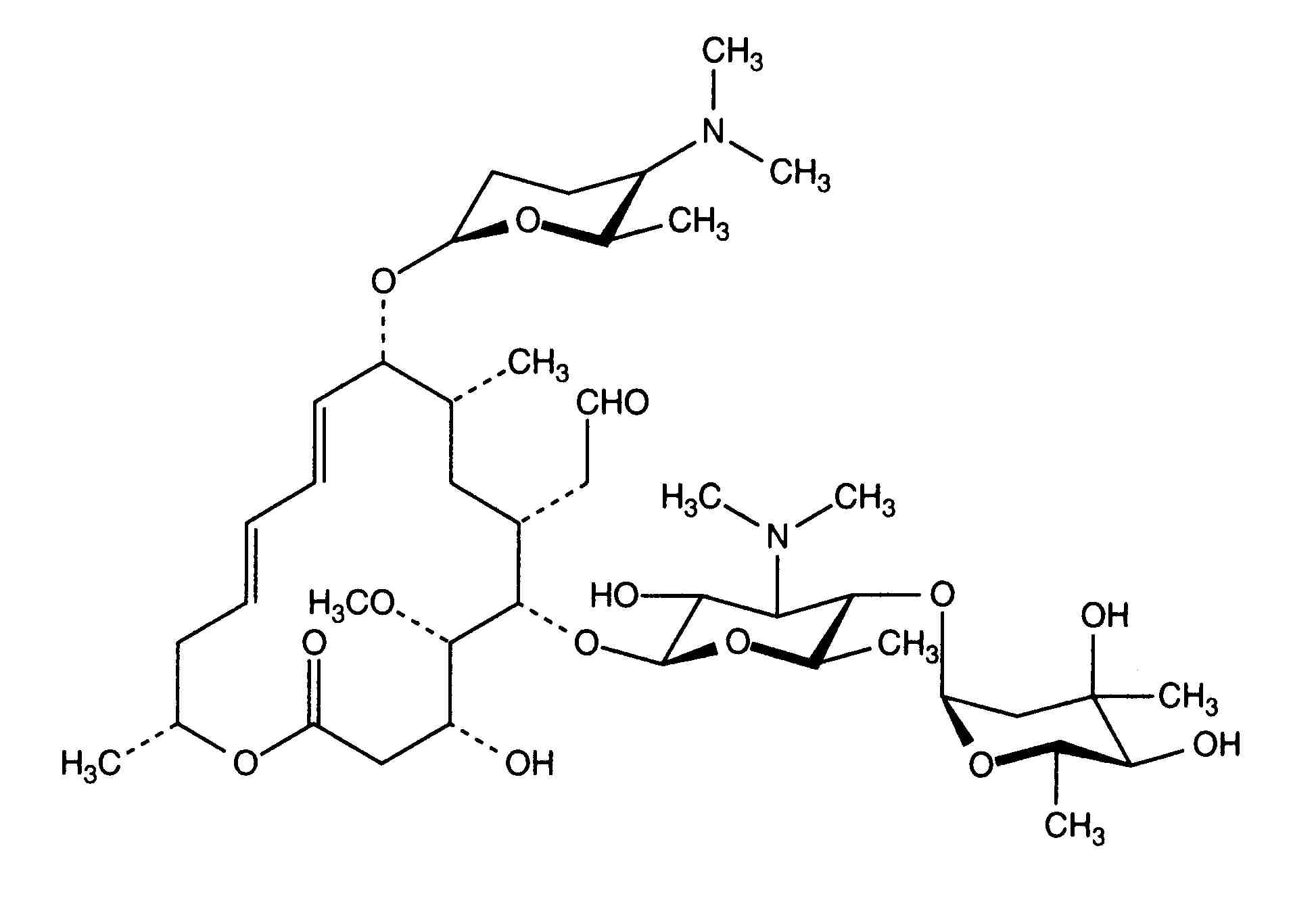
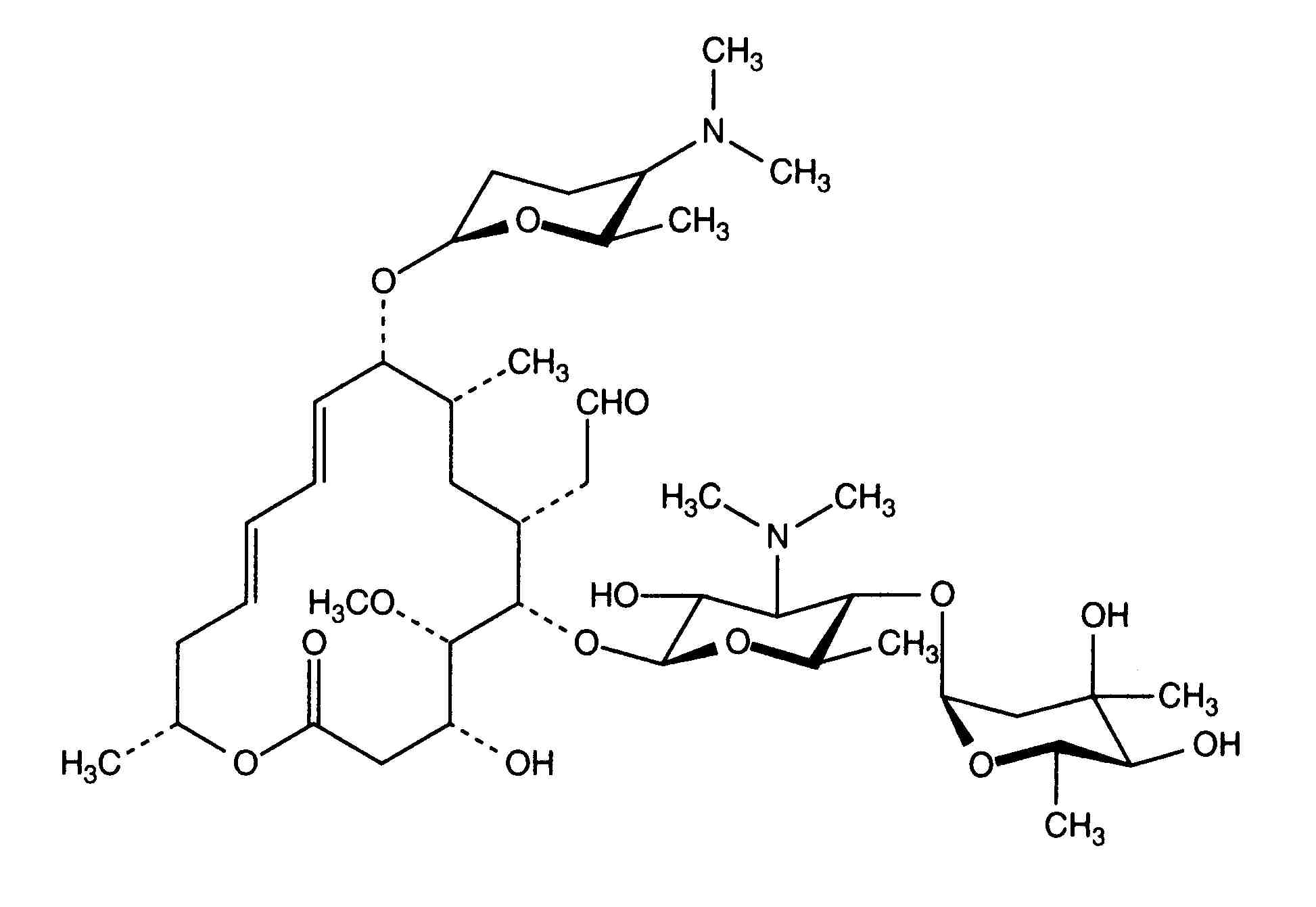
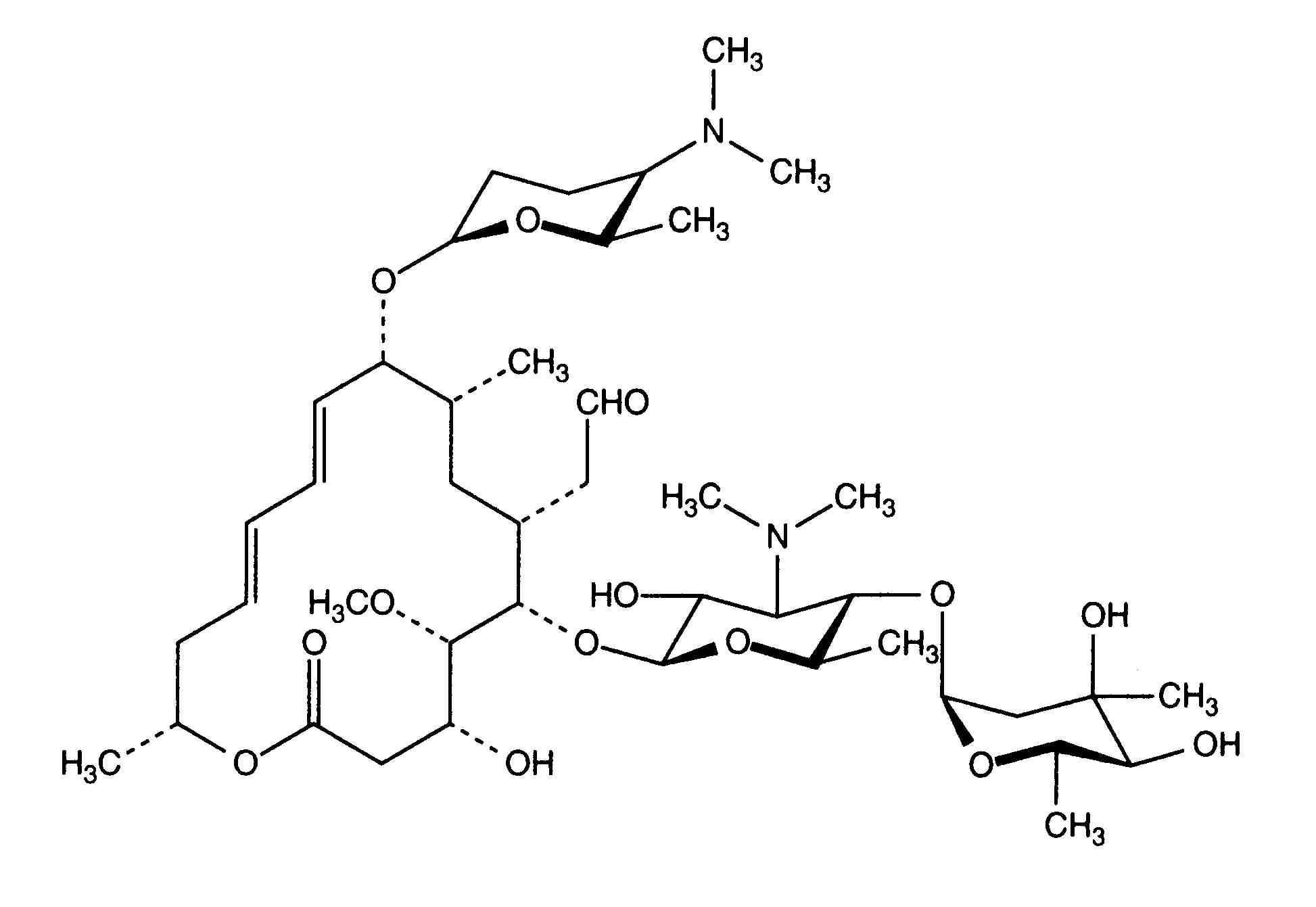
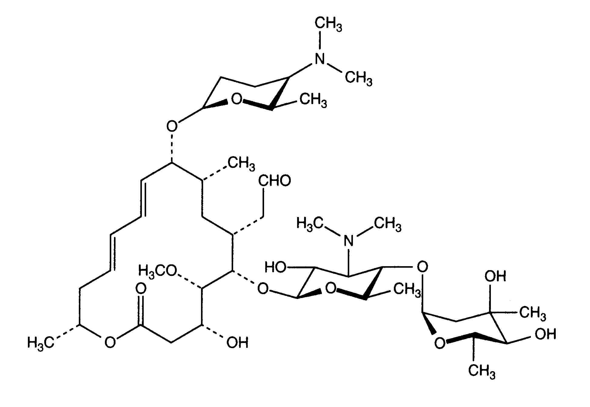
Antibiótico   Spiramycine adipate  
Inyectables
Estabilidad en solucion Estabilidad en mezcla Factores que influyen sobre la estabilidad Compatibilidades método de inyección Bibliografía pdf
   Estructura química  

Nombre comercial   Nombre comercial     

Los nombres comerciales son orientativos y los excipientes de la formulación pueden ser distintos dependiendo del país y del laboratorio fabricante.

Rovamycine Francia, Polonia

Factores que influyen sobre la estabilidad   Inyectables   Factores que influyen sobre la estabilidad : Spiramycine adipate        
Ausencia de datos

  Mentions Légales