zadnja posodobitev :
31/03/2026
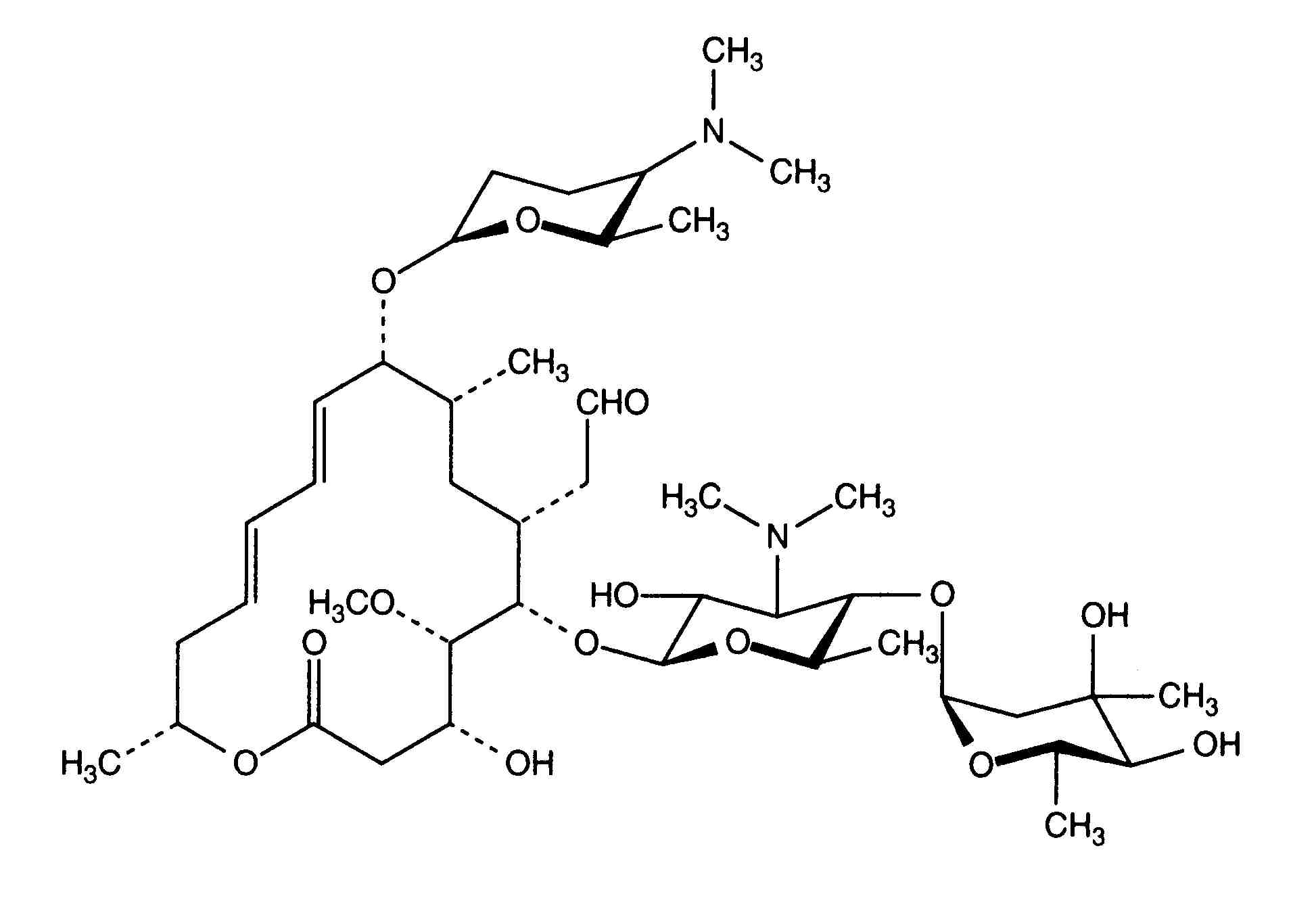
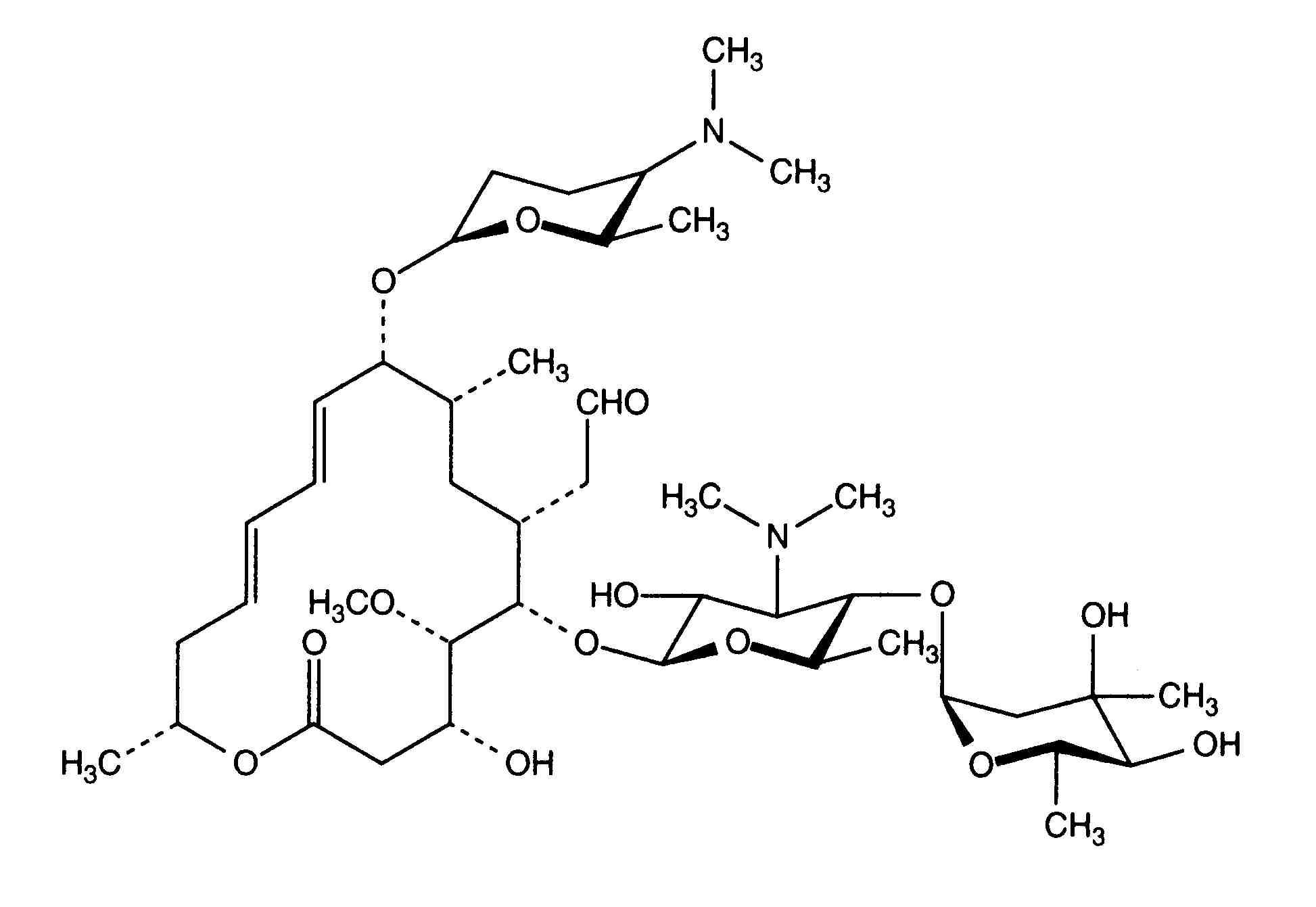
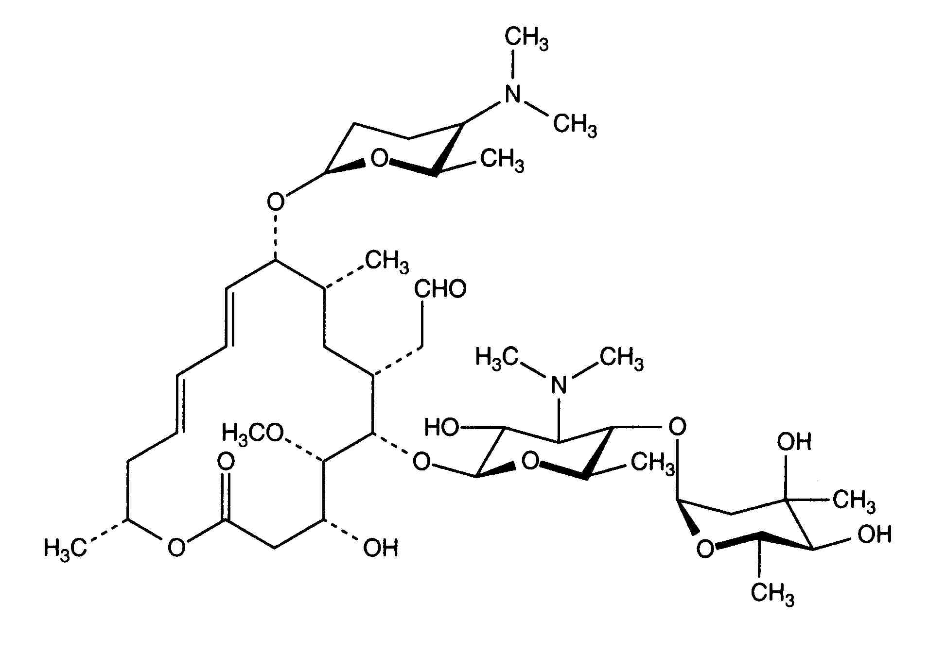
Antibiotik   Spiramycine adipate  
Brizgalka
Stabilnost raztopine Stabilnost mešanice Faktorji, ki vplivajo na stabilnost Kompatibilnost način aplikacije Viri pdf
   Kemična formula  

Lastniško ime   Lastniško ime     

Sestava pomožnih snovi je med paralelami lahko različna

Rovamycine Francija, Poljska

Faktorji, ki vplivajo na stabilnost   Brizgalka   Faktorji, ki vplivajo na stabilnost : Spiramycine adipate        
ni podatka

  Mentions Légales