Poslední aktualizace :
31/03/2026
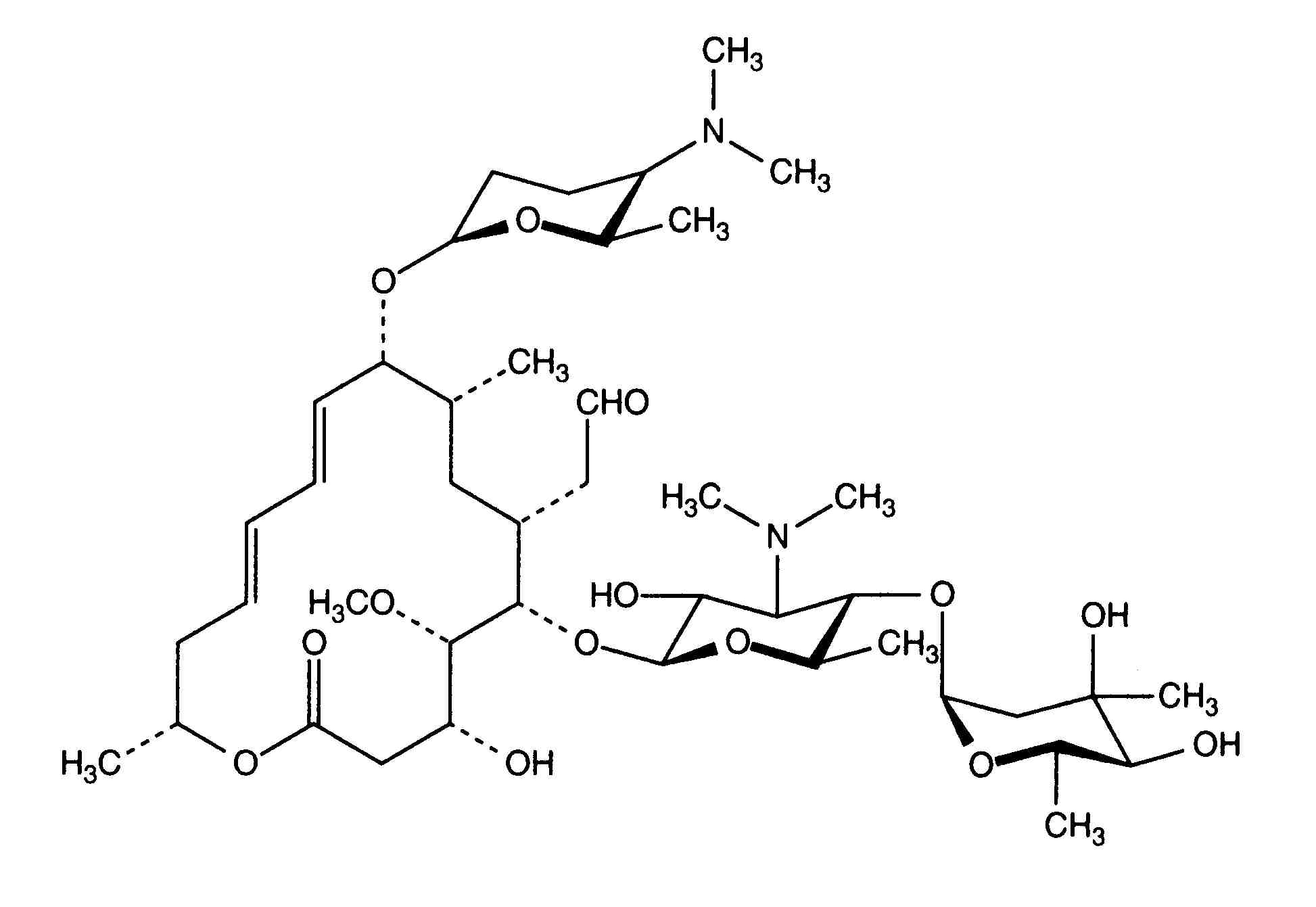
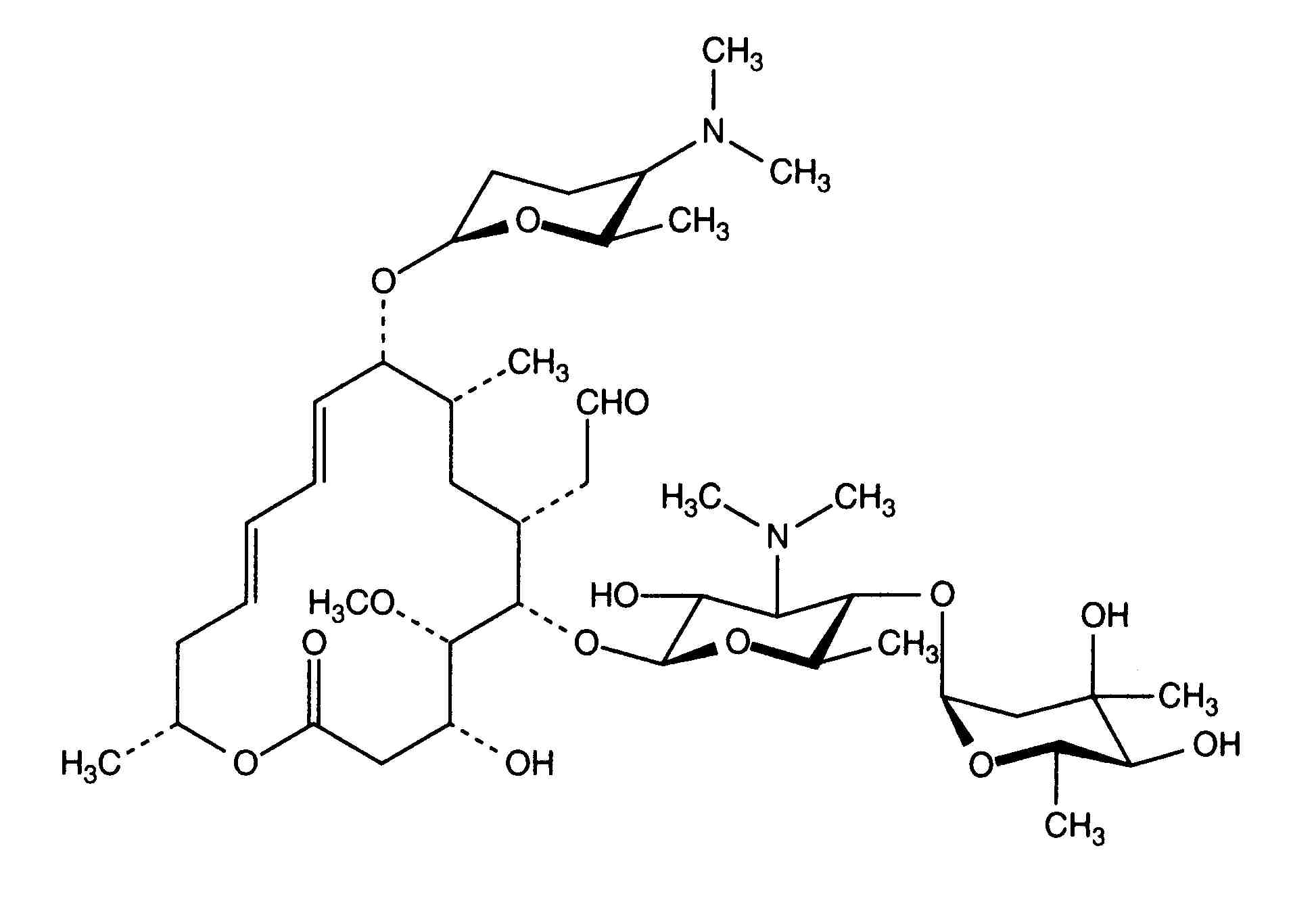
Antibiotikum   Spiramycine adipate  
injekce
Stabilita roztoků Stabilita směsí Faktory ovlivňující stabilitu Kompatibilita Způsoby aplikace Odkazy pdf
   Chemický vzorec  

Obchodní název   Obchodní název     

Trade names are indicative and excipients composition can be different depending on the country and manufacturers

Rovamycine Francie, Polsko

Faktory ovlivňující stabilitu   injekce   Faktory ovlivňující stabilitu : Spiramycine adipate        
žádná data

  Mentions Légales