Последнее обновление :
31/03/2026
Антибиотик   Spiramycine adipate  
Инъекция
Стабильность растворов Стабильность смесей Факторы, которые влияют на стабильность Совместимость Способы введения Библиография pdf
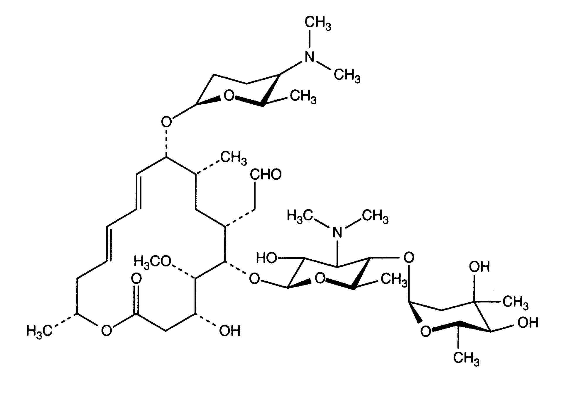
   Химическая структура  

Товарное название   Товарное название     

Trade names are indicative and excipients composition can be different depending on the country and manufacturers

Rovamycine Польша, Франция

Факторы, которые влияют на стабильность   Инъекция   Факторы, которые влияют на стабильность : Spiramycine adipate        
данных нет

  Mentions Légales