最新更新 :
31/03/2026
抗生素   Spiramycine adipate  
注射液
溶液稳定性 混合物稳定性 影响稳定性的因素 兼容性 用药途径 引用文献 PDF
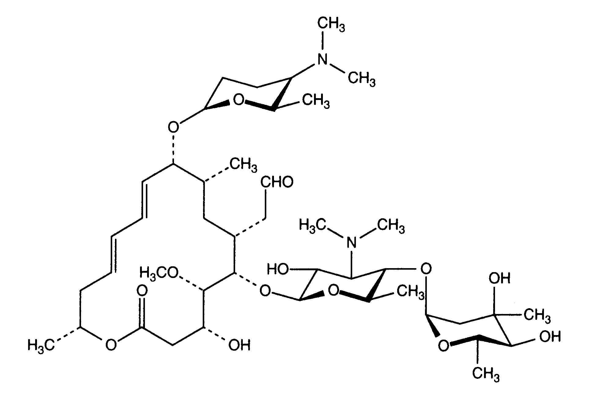
   化学式  

商品名   商品名     

商品名仅供参考, 药品所用的辅料可能依国家或厂商不同有所不同。

Rovamycine 法国, 波兰

影响稳定性的因素   注射液   影响稳定性的因素 : Spiramycine adipate        
无数据

  Mentions Légales