Zadnji put ažurirano :
31/03/2026
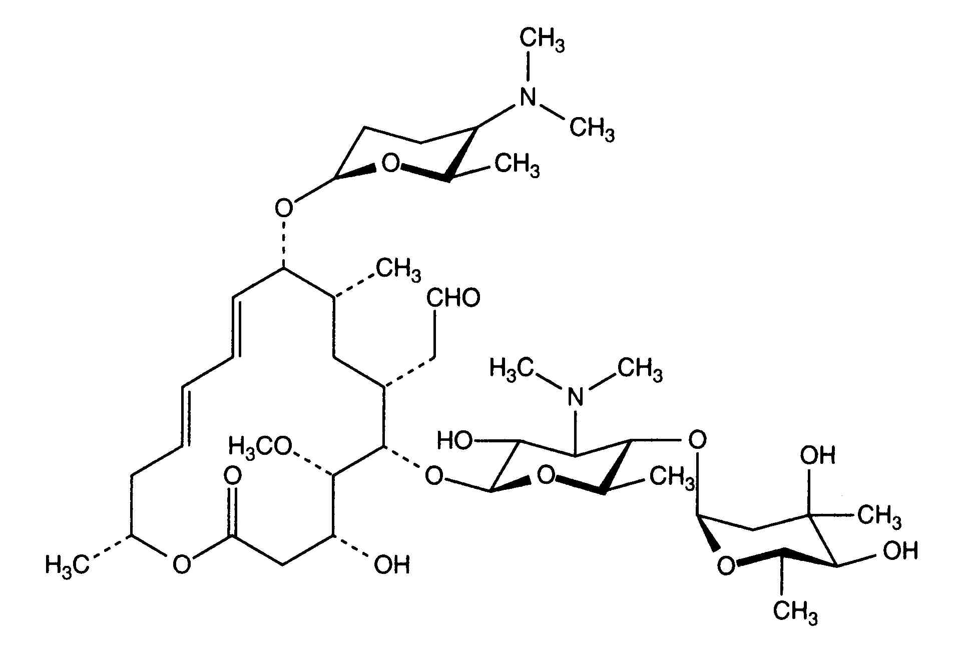
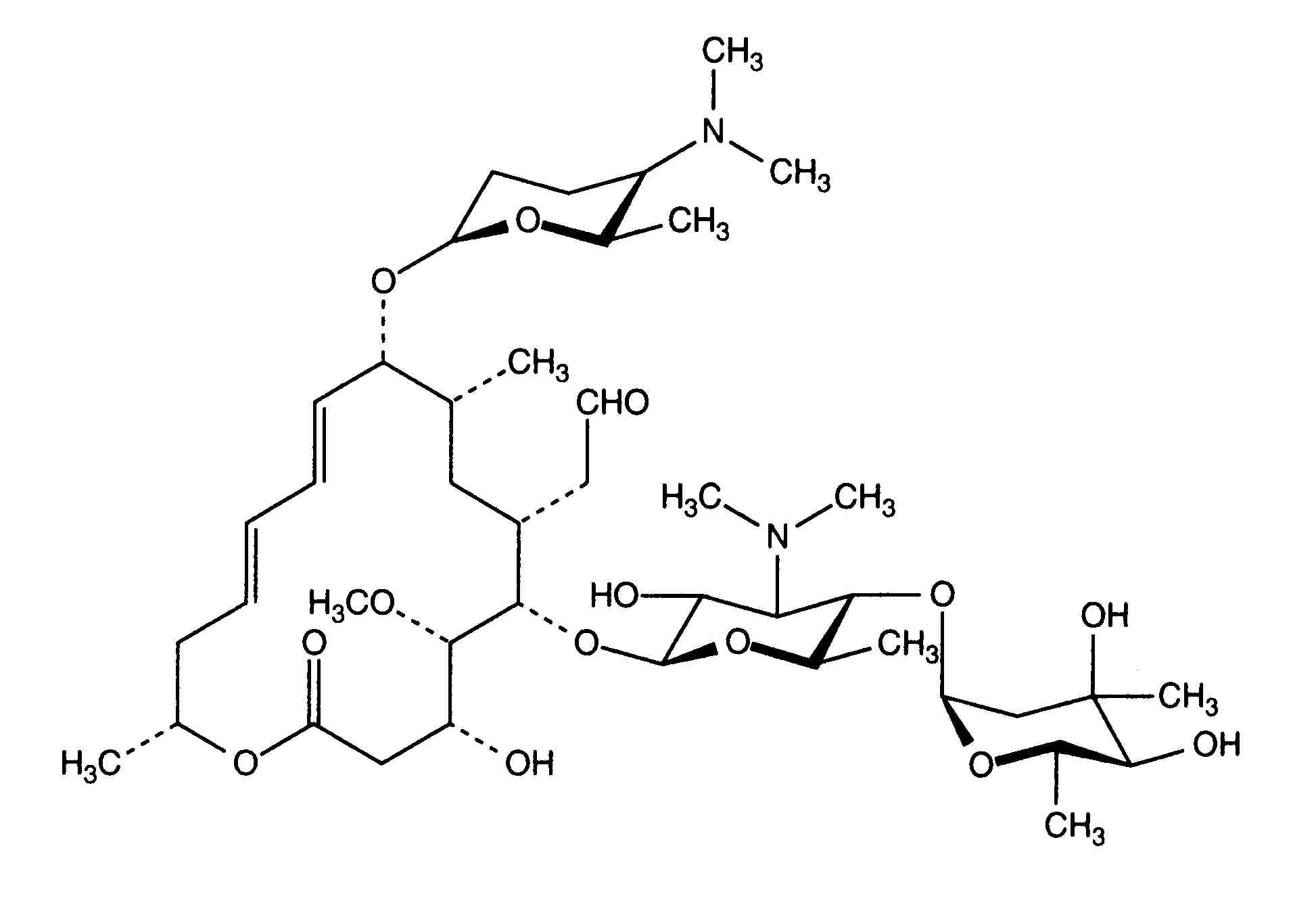
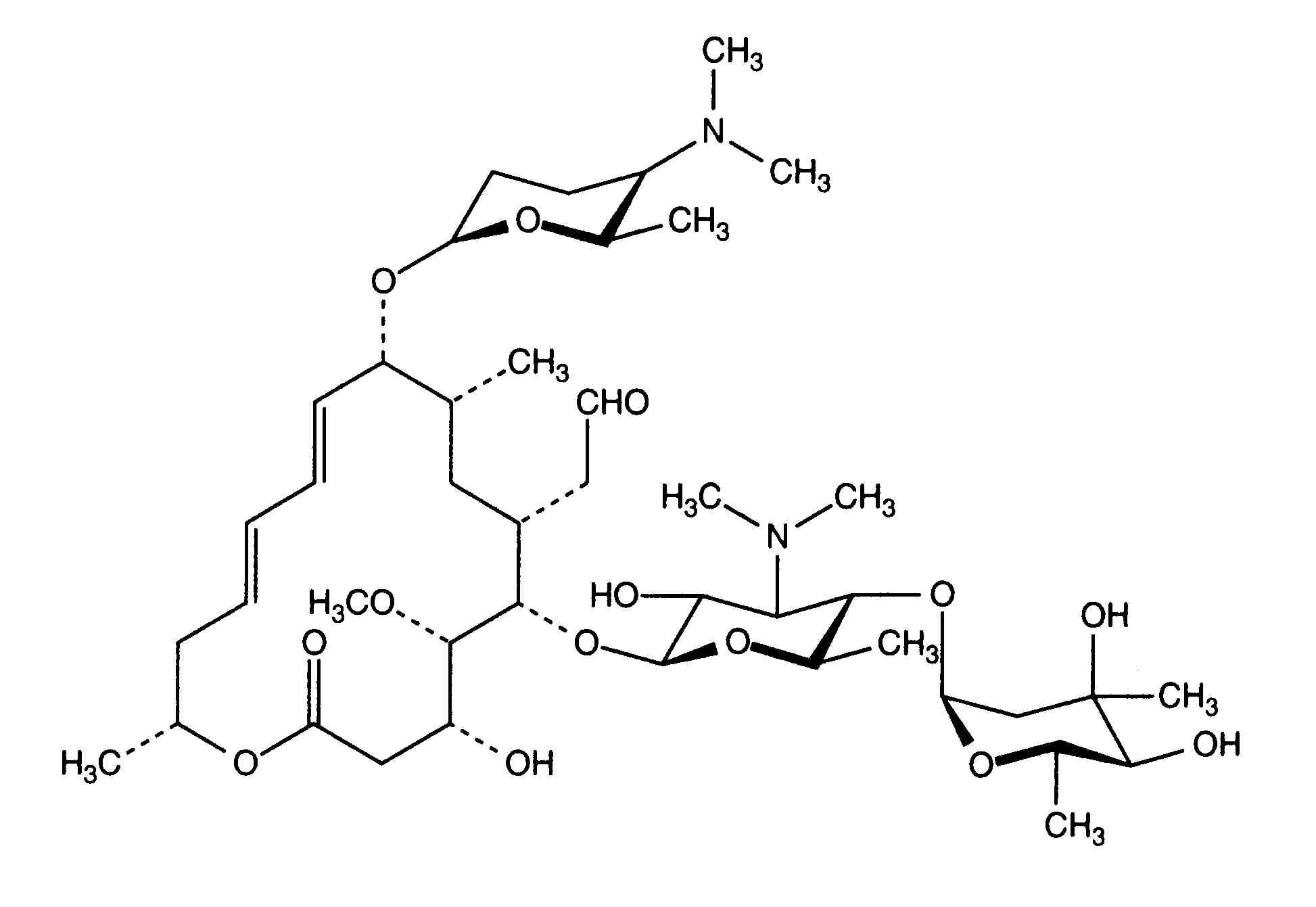
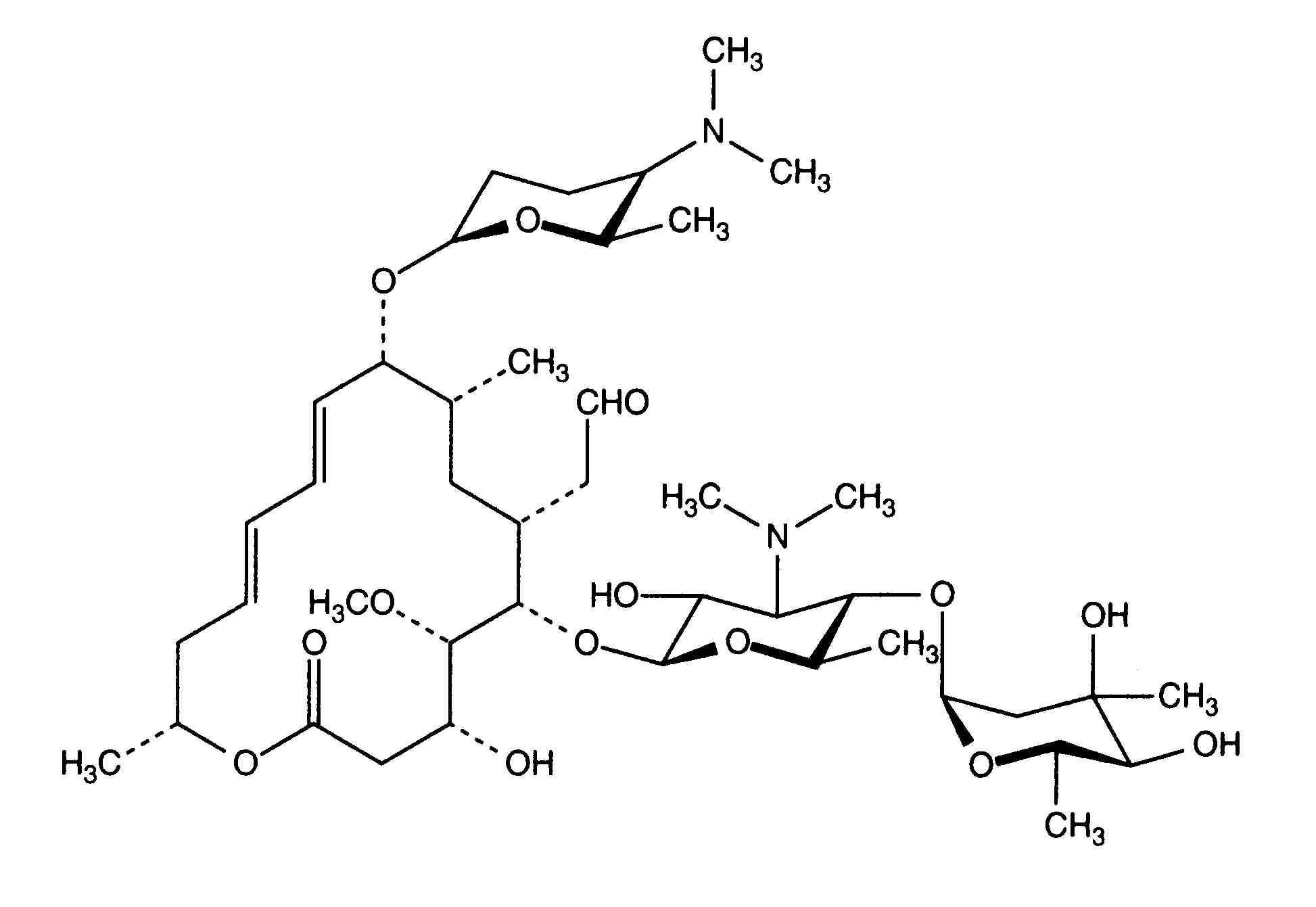
antibiotik   Spiramycine adipate  
injekcija
Stabilizacija rješenja Stabilnost mješavine Stabilizacijski faktor Kompatibilnosti način davanja lijeka Bibliografija pdf
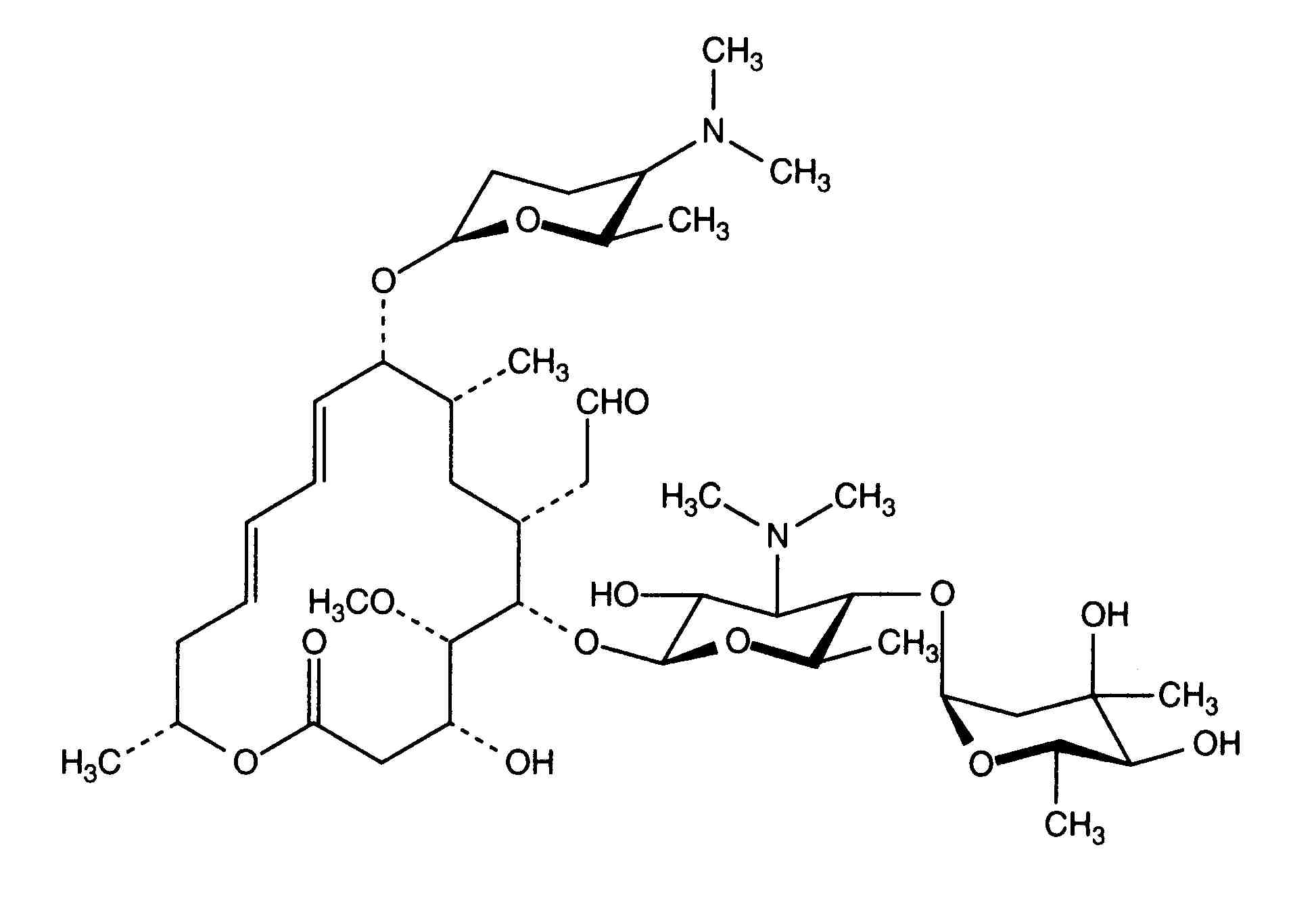
   Kemijska struktura  

Nekomercijalni   Nekomercijalni     

Zaštićeni nazivi su indikativni i sastav ekscipijensa može biti različit ovisno o državi i laboratorijima

Rovamycine Francuska, Poljska

Stabilizacijski faktor   injekcija   Stabilizacijski faktor : Spiramycine adipate        
bez podataka

  Mentions Légales