Останнє оновлення :
18/03/2026
Протипухлинний препарат   Etoposide phosphate  
ін'єкція
Стійкість в розчинах Стійкість сумішей Фактори, що впливають на стабільність Сумісність Шлях введення Список літератури pdf
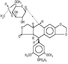
   Хімічна структура  

Торгова назва   Торгова назва     

Торгові назви є орієнтовними, а склад допоміжних речовин може бути різним залежно від країни та виробника

Etopofos Австрія, Греція, Швеція
Etopophos Ізраїль, Бельгія, Болгарія, Великобританія, Люксембург, Нідерланди, Німеччина, Нова Зеландія, Польща, Сполучені Штати Америки, Франція, Швейцарія
Стійкість в розчинах   ін'єкція   Стійкість в розчинах : Etoposide phosphate     
Контейнер Розчинник Концентрація температура Зберігання Тривалість стабільності Список літератури
скло Вода для ін'єкцій 10 & 20 mg/ml 2-8°C Берегти від світла
7 День
3655
Дані виробника про стабільність

скло Вода для ін'єкцій 10 & 20 mg/ml 25°C світло
96 годину
3655
Дані виробника про стабільність

скло Вода для ін'єкцій 10 & 20 mg/ml 37°C світло
48 годину
3655
Дані виробника про стабільність

скло Натрію хлорид 0,9% > 0,1 mg/ml 2-8°C Берегти від світла
7 День
3655
Дані виробника про стабільність

скло Натрію хлорид 0,9% > 0,1 mg/ml 25°C світло
96 годину
3655
Дані виробника про стабільність

скло Натрію хлорид 0,9% > 0,1 mg/ml 37°C світло
48 годину
3655
Дані виробника про стабільність

скло Натрію хлорид 0,9% 10 & 20 mg/ml 2-8°C Берегти від світла
7 День
3655
Дані виробника про стабільність

скло Натрію хлорид 0,9% 10 & 20 mg/ml 25°C світло
96 годину
3655
Дані виробника про стабільність

скло Натрію хлорид 0,9% 10 & 20 mg/ml 37°C світло
48 годину
3655
Дані виробника про стабільність

скло Глюкоза 5% > 0,1 mg/ml 2-8°C Берегти від світла
7 День
3655
Дані виробника про стабільність

скло Глюкоза 5% > 0,1 mg/ml 25°C світло
96 годину
3655
Дані виробника про стабільність

скло Глюкоза 5% > 0,1 mg/ml 37°C світло
48 годину
3655
Дані виробника про стабільність

скло Глюкоза 5% 10 & 20 mg/ml 2-8°C Берегти від світла
7 День
3655
Дані виробника про стабільність

скло Глюкоза 5% 10 & 20 mg/ml 25°C світло
96 годину
3655
Дані виробника про стабільність

скло Глюкоза 5% 10 & 20 mg/ml 37°C світло
48 годину
3655
Дані виробника про стабільність

Полівініл хлорид Натрію хлорид 0,9% > 0,1 mg/ml 2-8°C Берегти від світла
7 День
3655
Дані виробника про стабільність

Полівініл хлорид Натрію хлорид 0,9% > 0,1 mg/ml 25°C світло
96 годину
3655
Дані виробника про стабільність

Полівініл хлорид Натрію хлорид 0,9% > 0,1 mg/ml 37°C світло
48 годину
3655
Дані виробника про стабільність

Полівініл хлорид Натрію хлорид 0,9% 0,1 & 10 mg/ml 23°C Не визначено
31 День
1411
Рівень доказовості B+

Полівініл хлорид Натрію хлорид 0,9% 0,1 & 10 mg/ml 32°C Не визначено
7 День
1411
Рівень доказовості B+

Полівініл хлорид Натрію хлорид 0,9% 0,1 & 10 mg/ml 4°C Берегти від світла
31 День
1411
Рівень доказовості B+

Полівініл хлорид Глюкоза 5% > 0,1 mg/ml 2-8°C Берегти від світла
7 День
3655
Дані виробника про стабільність

Полівініл хлорид Глюкоза 5% > 0,1 mg/ml 25°C світло
96 годину
3655
Дані виробника про стабільність

Полівініл хлорид Глюкоза 5% > 0,1 mg/ml 37°C світло
48 годину
3655
Дані виробника про стабільність

Полівініл хлорид Глюкоза 5% 0,1 & 10 mg/ml 23°C Не визначено
31 День
1411
Рівень доказовості B+

Полівініл хлорид Глюкоза 5% 0,1 & 10 mg/ml 32°C Не визначено
7 День
1411
Рівень доказовості B+

Полівініл хлорид Глюкоза 5% 0,1 & 10 mg/ml 4°C Берегти від світла
31 День
1411
Рівень доказовості B+

Поліолефін Натрію хлорид 0,9% > 0,1 mg/ml 2-8°C Берегти від світла
7 День
3655
Дані виробника про стабільність

Поліолефін Натрію хлорид 0,9% > 0,1 mg/ml 25°C світло
96 годину
3655
Дані виробника про стабільність

Поліолефін Натрію хлорид 0,9% > 0,1 mg/ml 37°C світло
48 годину
3655
Дані виробника про стабільність

Поліолефін Глюкоза 5% > 0,1 mg/ml 2-8°C Берегти від світла
7 День
3655
Дані виробника про стабільність

Поліолефін Глюкоза 5% > 0,1 mg/ml 25°C світло
96 годину
3655
Дані виробника про стабільність

Поліолефін Глюкоза 5% > 0,1 mg/ml 37°C світло
48 годину
3655
Дані виробника про стабільність

Поліпропіленовий шприц Вода для ін'єкцій + антибактеріальний засіб 10 & 20 mg/ml 23°C Не визначено
31 День
1411
Рівень доказовості B+

Поліпропіленовий шприц Вода для ін'єкцій + антибактеріальний засіб 10 & 20 mg/ml 32°C Не визначено
7 День
1411
Рівень доказовості B+

Поліпропіленовий шприц Вода для ін'єкцій + антибактеріальний засіб 10 & 20 mg/ml 4°C Берегти від світла
31 День
1411
Рівень доказовості B+


  Mentions Légales