Последнее обновление :
17/12/2025
Цитостатическое средство   Etoposide phosphate  
Инъекция
Стабильность растворов Стабильность смесей Факторы, которые влияют на стабильность Совместимость Способы введения Библиография pdf
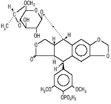
   Химическая структура  

Товарное название   Товарное название     

Trade names are indicative and excipients composition can be different depending on the country and manufacturers

Etopofos Австрия, Греция, Швеция
Etopophos Бельгия, Болгария, Великобритания, Германия, Голландия, Израиль, Люксембург, новая Зеландия, Польша, Соединённые Штаты Америки, Франция, Швейцария
Стабильность растворов   Инъекция   Стабильность растворов : Etoposide phosphate     
Упаковка Растворитель Концентрация Температура Хранение Продолжительность стабильности Ссылки
Стекло Вода для инъекций 10 & 20 mg/ml 2-8°C Защищён от света
7 День
3655
Данные по стабльности от изготовителя

Стекло Вода для инъекций 10 & 20 mg/ml 25°C Свет
96 Час
3655
Данные по стабльности от изготовителя

Стекло Вода для инъекций 10 & 20 mg/ml 37°C Свет
48 Час
3655
Данные по стабльности от изготовителя

Стекло Натрия хлорид 0,9% > 0,1 mg/ml 2-8°C Защищён от света
7 День
3655
Данные по стабльности от изготовителя

Стекло Натрия хлорид 0,9% > 0,1 mg/ml 25°C Свет
96 Час
3655
Данные по стабльности от изготовителя

Стекло Натрия хлорид 0,9% > 0,1 mg/ml 37°C Свет
48 Час
3655
Данные по стабльности от изготовителя

Стекло Натрия хлорид 0,9% 10 & 20 mg/ml 2-8°C Защищён от света
7 День
3655
Данные по стабльности от изготовителя

Стекло Натрия хлорид 0,9% 10 & 20 mg/ml 25°C Свет
96 Час
3655
Данные по стабльности от изготовителя

Стекло Натрия хлорид 0,9% 10 & 20 mg/ml 37°C Свет
48 Час
3655
Данные по стабльности от изготовителя

Стекло Глюкоза 5% > 0,1 mg/ml 2-8°C Защищён от света
7 День
3655
Данные по стабльности от изготовителя

Стекло Глюкоза 5% > 0,1 mg/ml 25°C Свет
96 Час
3655
Данные по стабльности от изготовителя

Стекло Глюкоза 5% > 0,1 mg/ml 37°C Свет
48 Час
3655
Данные по стабльности от изготовителя

Стекло Глюкоза 5% 10 & 20 mg/ml 2-8°C Защищён от света
7 День
3655
Данные по стабльности от изготовителя

Стекло Глюкоза 5% 10 & 20 mg/ml 25°C Свет
96 Час
3655
Данные по стабльности от изготовителя

Стекло Глюкоза 5% 10 & 20 mg/ml 37°C Свет
48 Час
3655
Данные по стабльности от изготовителя

Поливинилхлорид Натрия хлорид 0,9% > 0,1 mg/ml 2-8°C Защищён от света
7 День
3655
Данные по стабльности от изготовителя

Поливинилхлорид Натрия хлорид 0,9% > 0,1 mg/ml 25°C Свет
96 Час
3655
Данные по стабльности от изготовителя

Поливинилхлорид Натрия хлорид 0,9% > 0,1 mg/ml 37°C Свет
48 Час
3655
Данные по стабльности от изготовителя

Поливинилхлорид Натрия хлорид 0,9% 0,1 & 10 mg/ml 23°C Не указано
31 День
1411
Уровень доказательности B +

Поливинилхлорид Натрия хлорид 0,9% 0,1 & 10 mg/ml 32°C Не указано
7 День
1411
Уровень доказательности B +

Поливинилхлорид Натрия хлорид 0,9% 0,1 & 10 mg/ml 4°C Защищён от света
31 День
1411
Уровень доказательности B +

Поливинилхлорид Глюкоза 5% > 0,1 mg/ml 2-8°C Защищён от света
7 День
3655
Данные по стабльности от изготовителя

Поливинилхлорид Глюкоза 5% > 0,1 mg/ml 25°C Свет
96 Час
3655
Данные по стабльности от изготовителя

Поливинилхлорид Глюкоза 5% > 0,1 mg/ml 37°C Свет
48 Час
3655
Данные по стабльности от изготовителя

Поливинилхлорид Глюкоза 5% 0,1 & 10 mg/ml 23°C Не указано
31 День
1411
Уровень доказательности B +

Поливинилхлорид Глюкоза 5% 0,1 & 10 mg/ml 32°C Не указано
7 День
1411
Уровень доказательности B +

Поливинилхлорид Глюкоза 5% 0,1 & 10 mg/ml 4°C Защищён от света
31 День
1411
Уровень доказательности B +

Полиолефин Натрия хлорид 0,9% > 0,1 mg/ml 2-8°C Защищён от света
7 День
3655
Данные по стабльности от изготовителя

Полиолефин Натрия хлорид 0,9% > 0,1 mg/ml 25°C Свет
96 Час
3655
Данные по стабльности от изготовителя

Полиолефин Натрия хлорид 0,9% > 0,1 mg/ml 37°C Свет
48 Час
3655
Данные по стабльности от изготовителя

Полиолефин Глюкоза 5% > 0,1 mg/ml 2-8°C Защищён от света
7 День
3655
Данные по стабльности от изготовителя

Полиолефин Глюкоза 5% > 0,1 mg/ml 25°C Свет
96 Час
3655
Данные по стабльности от изготовителя

Полиолефин Глюкоза 5% > 0,1 mg/ml 37°C Свет
48 Час
3655
Данные по стабльности от изготовителя

Шприц полипропилен Вода для инъекций + антибактериальный 10 & 20 mg/ml 23°C Не указано
31 День
1411
Уровень доказательности B +

Шприц полипропилен Вода для инъекций + антибактериальный 10 & 20 mg/ml 32°C Не указано
7 День
1411
Уровень доказательности B +

Шприц полипропилен Вода для инъекций + антибактериальный 10 & 20 mg/ml 4°C Защищён от света
31 День
1411
Уровень доказательности B +


  Mentions Légales