Última actualización :
27/01/2026
fármacos contra el cáncer   Etoposide phosphate  
Inyectables
Estabilidad en solucion Estabilidad en mezcla Factores que influyen sobre la estabilidad Compatibilidades método de inyección Bibliografía pdf
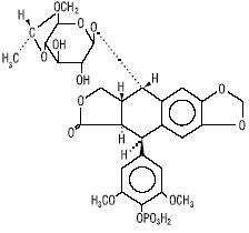
   Estructura química  

Nombre comercial   Nombre comercial     

Los nombres comerciales son orientativos y los excipientes de la formulación pueden ser distintos dependiendo del país y del laboratorio fabricante.

Etopofos Austria, Grecia, Suecia
Etopophos Alemania, Bélgica, Bulgaria, Estados Unidos de América, Francia, Gran Bretaña, Israel, Luxemburgo, Nueva Zelanda, Países Bajos, Polonia, Suiza
Estabilidad en solucion   Inyectables   Estabilidad en solucion : Etoposide phosphate     
Envase Solvente Concentración Temperatura Conservación Duración de la estabilidad Bibliografía
Vidrio Agua para preparación inyectable 10 & 20 mg/ml 2-8°C A cubierto de la luz
7 Día
3655
Datos de estabilidad del fabricante

Vidrio Agua para preparación inyectable 10 & 20 mg/ml 25°C Luz
96 Hora
3655
Datos de estabilidad del fabricante

Vidrio Agua para preparación inyectable 10 & 20 mg/ml 37°C Luz
48 Hora
3655
Datos de estabilidad del fabricante

Vidrio Cloruro de sodio 0,9% > 0,1 mg/ml 2-8°C A cubierto de la luz
7 Día
3655
Datos de estabilidad del fabricante

Vidrio Cloruro de sodio 0,9% > 0,1 mg/ml 25°C Luz
96 Hora
3655
Datos de estabilidad del fabricante

Vidrio Cloruro de sodio 0,9% > 0,1 mg/ml 37°C Luz
48 Hora
3655
Datos de estabilidad del fabricante

Vidrio Cloruro de sodio 0,9% 10 & 20 mg/ml 2-8°C A cubierto de la luz
7 Día
3655
Datos de estabilidad del fabricante

Vidrio Cloruro de sodio 0,9% 10 & 20 mg/ml 25°C Luz
96 Hora
3655
Datos de estabilidad del fabricante

Vidrio Cloruro de sodio 0,9% 10 & 20 mg/ml 37°C Luz
48 Hora
3655
Datos de estabilidad del fabricante

Vidrio Glucosa 5% > 0,1 mg/ml 2-8°C A cubierto de la luz
7 Día
3655
Datos de estabilidad del fabricante

Vidrio Glucosa 5% > 0,1 mg/ml 25°C Luz
96 Hora
3655
Datos de estabilidad del fabricante

Vidrio Glucosa 5% > 0,1 mg/ml 37°C Luz
48 Hora
3655
Datos de estabilidad del fabricante

Vidrio Glucosa 5% 10 & 20 mg/ml 2-8°C A cubierto de la luz
7 Día
3655
Datos de estabilidad del fabricante

Vidrio Glucosa 5% 10 & 20 mg/ml 25°C Luz
96 Hora
3655
Datos de estabilidad del fabricante

Vidrio Glucosa 5% 10 & 20 mg/ml 37°C Luz
48 Hora
3655
Datos de estabilidad del fabricante

Cloruro de polivinilo Cloruro de sodio 0,9% > 0,1 mg/ml 2-8°C A cubierto de la luz
7 Día
3655
Datos de estabilidad del fabricante

Cloruro de polivinilo Cloruro de sodio 0,9% > 0,1 mg/ml 25°C Luz
96 Hora
3655
Datos de estabilidad del fabricante

Cloruro de polivinilo Cloruro de sodio 0,9% > 0,1 mg/ml 37°C Luz
48 Hora
3655
Datos de estabilidad del fabricante

Cloruro de polivinilo Cloruro de sodio 0,9% 0,1 & 10 mg/ml 23°C No precisada
31 Día
1411
Nivel de evidencia B+

Cloruro de polivinilo Cloruro de sodio 0,9% 0,1 & 10 mg/ml 32°C No precisada
7 Día
1411
Nivel de evidencia B+

Cloruro de polivinilo Cloruro de sodio 0,9% 0,1 & 10 mg/ml 4°C A cubierto de la luz
31 Día
1411
Nivel de evidencia B+

Cloruro de polivinilo Glucosa 5% > 0,1 mg/ml 2-8°C A cubierto de la luz
7 Día
3655
Datos de estabilidad del fabricante

Cloruro de polivinilo Glucosa 5% > 0,1 mg/ml 25°C Luz
96 Hora
3655
Datos de estabilidad del fabricante

Cloruro de polivinilo Glucosa 5% > 0,1 mg/ml 37°C Luz
48 Hora
3655
Datos de estabilidad del fabricante

Cloruro de polivinilo Glucosa 5% 0,1 & 10 mg/ml 23°C No precisada
31 Día
1411
Nivel de evidencia B+

Cloruro de polivinilo Glucosa 5% 0,1 & 10 mg/ml 32°C No precisada
7 Día
1411
Nivel de evidencia B+

Cloruro de polivinilo Glucosa 5% 0,1 & 10 mg/ml 4°C A cubierto de la luz
31 Día
1411
Nivel de evidencia B+

Poliolefina Cloruro de sodio 0,9% > 0,1 mg/ml 2-8°C A cubierto de la luz
7 Día
3655
Datos de estabilidad del fabricante

Poliolefina Cloruro de sodio 0,9% > 0,1 mg/ml 25°C Luz
96 Hora
3655
Datos de estabilidad del fabricante

Poliolefina Cloruro de sodio 0,9% > 0,1 mg/ml 37°C Luz
48 Hora
3655
Datos de estabilidad del fabricante

Poliolefina Glucosa 5% > 0,1 mg/ml 2-8°C A cubierto de la luz
7 Día
3655
Datos de estabilidad del fabricante

Poliolefina Glucosa 5% > 0,1 mg/ml 25°C Luz
96 Hora
3655
Datos de estabilidad del fabricante

Poliolefina Glucosa 5% > 0,1 mg/ml 37°C Luz
48 Hora
3655
Datos de estabilidad del fabricante

jeringa polipropileno Agua + bacteriostático 10 & 20 mg/ml 23°C No precisada
31 Día
1411
Nivel de evidencia B+

jeringa polipropileno Agua + bacteriostático 10 & 20 mg/ml 32°C No precisada
7 Día
1411
Nivel de evidencia B+

jeringa polipropileno Agua + bacteriostático 10 & 20 mg/ml 4°C A cubierto de la luz
31 Día
1411
Nivel de evidencia B+


  Mentions Légales