Ostatnia aktualizacja :
27/01/2026
Lek cytostatyk   Etoposide phosphate  
Injekcje
Trwałość roztworów Trwałość w mieszaninie Czynnik wpływający na trwałość Zgodność Sposób podania Bibliografia pdf
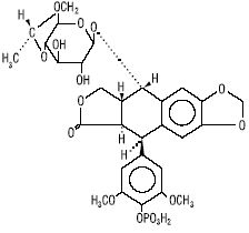
   Struktura chemiczna  

Nazwa handlowa   Nazwa handlowa     

Trade names are indicative and excipients composition can be different depending on the country and manufacturers

Etopofos Austria, Grecja, Szwecja
Etopophos Belgia, Bułgaria, Francja , Holandia, Israël, Luksemburg, Niemcy, nowa Zelandia, Polska, Stany Zjednoczone Ameryki, Szwajcaria, Wielka Brytania
Trwałość roztworów   Injekcje   Trwałość roztworów : Etoposide phosphate     
Pojemnik Rozpuszczalnik Stężenie Temperatura Przechowywanie Czas trwania stabilności Bibliografia
Szkło Woda do wstrzyknięć 10 & 20 mg/ml 2-8°C Chronić od światła
7 Dzień
3655
Dane stabilności producenta

Szkło Woda do wstrzyknięć 10 & 20 mg/ml 25°C światło
96 Godzina
3655
Dane stabilności producenta

Szkło Woda do wstrzyknięć 10 & 20 mg/ml 37°C światło
48 Godzina
3655
Dane stabilności producenta

Szkło Chlorek sodu 0,9% > 0,1 mg/ml 2-8°C Chronić od światła
7 Dzień
3655
Dane stabilności producenta

Szkło Chlorek sodu 0,9% > 0,1 mg/ml 25°C światło
96 Godzina
3655
Dane stabilności producenta

Szkło Chlorek sodu 0,9% > 0,1 mg/ml 37°C światło
48 Godzina
3655
Dane stabilności producenta

Szkło Chlorek sodu 0,9% 10 & 20 mg/ml 2-8°C Chronić od światła
7 Dzień
3655
Dane stabilności producenta

Szkło Chlorek sodu 0,9% 10 & 20 mg/ml 25°C światło
96 Godzina
3655
Dane stabilności producenta

Szkło Chlorek sodu 0,9% 10 & 20 mg/ml 37°C światło
48 Godzina
3655
Dane stabilności producenta

Szkło Glukoza 5% > 0,1 mg/ml 2-8°C Chronić od światła
7 Dzień
3655
Dane stabilności producenta

Szkło Glukoza 5% > 0,1 mg/ml 25°C światło
96 Godzina
3655
Dane stabilności producenta

Szkło Glukoza 5% > 0,1 mg/ml 37°C światło
48 Godzina
3655
Dane stabilności producenta

Szkło Glukoza 5% 10 & 20 mg/ml 2-8°C Chronić od światła
7 Dzień
3655
Dane stabilności producenta

Szkło Glukoza 5% 10 & 20 mg/ml 25°C światło
96 Godzina
3655
Dane stabilności producenta

Szkło Glukoza 5% 10 & 20 mg/ml 37°C światło
48 Godzina
3655
Dane stabilności producenta

Polichlorek winylu Chlorek sodu 0,9% > 0,1 mg/ml 2-8°C Chronić od światła
7 Dzień
3655
Dane stabilności producenta

Polichlorek winylu Chlorek sodu 0,9% > 0,1 mg/ml 25°C światło
96 Godzina
3655
Dane stabilności producenta

Polichlorek winylu Chlorek sodu 0,9% > 0,1 mg/ml 37°C światło
48 Godzina
3655
Dane stabilności producenta

Polichlorek winylu Chlorek sodu 0,9% 0,1 & 10 mg/ml 23°C Nie wyszczególniony
31 Dzień
1411
Poziom wiarygodności B+

Polichlorek winylu Chlorek sodu 0,9% 0,1 & 10 mg/ml 32°C Nie wyszczególniony
7 Dzień
1411
Poziom wiarygodności B+

Polichlorek winylu Chlorek sodu 0,9% 0,1 & 10 mg/ml 4°C Chronić od światła
31 Dzień
1411
Poziom wiarygodności B+

Polichlorek winylu Glukoza 5% > 0,1 mg/ml 2-8°C Chronić od światła
7 Dzień
3655
Dane stabilności producenta

Polichlorek winylu Glukoza 5% > 0,1 mg/ml 25°C światło
96 Godzina
3655
Dane stabilności producenta

Polichlorek winylu Glukoza 5% > 0,1 mg/ml 37°C światło
48 Godzina
3655
Dane stabilności producenta

Polichlorek winylu Glukoza 5% 0,1 & 10 mg/ml 23°C Nie wyszczególniony
31 Dzień
1411
Poziom wiarygodności B+

Polichlorek winylu Glukoza 5% 0,1 & 10 mg/ml 32°C Nie wyszczególniony
7 Dzień
1411
Poziom wiarygodności B+

Polichlorek winylu Glukoza 5% 0,1 & 10 mg/ml 4°C Chronić od światła
31 Dzień
1411
Poziom wiarygodności B+

Poliolefina Chlorek sodu 0,9% > 0,1 mg/ml 2-8°C Chronić od światła
7 Dzień
3655
Dane stabilności producenta

Poliolefina Chlorek sodu 0,9% > 0,1 mg/ml 25°C światło
96 Godzina
3655
Dane stabilności producenta

Poliolefina Chlorek sodu 0,9% > 0,1 mg/ml 37°C światło
48 Godzina
3655
Dane stabilności producenta

Poliolefina Glukoza 5% > 0,1 mg/ml 2-8°C Chronić od światła
7 Dzień
3655
Dane stabilności producenta

Poliolefina Glukoza 5% > 0,1 mg/ml 25°C światło
96 Godzina
3655
Dane stabilności producenta

Poliolefina Glukoza 5% > 0,1 mg/ml 37°C światło
48 Godzina
3655
Dane stabilności producenta

Strzykawka Woda do wstrzyknięć + bakteriostatyk 10 & 20 mg/ml 23°C Nie wyszczególniony
31 Dzień
1411
Poziom wiarygodności B+

Strzykawka Woda do wstrzyknięć + bakteriostatyk 10 & 20 mg/ml 32°C Nie wyszczególniony
7 Dzień
1411
Poziom wiarygodności B+

Strzykawka Woda do wstrzyknięć + bakteriostatyk 10 & 20 mg/ml 4°C Chronić od światła
31 Dzień
1411
Poziom wiarygodności B+


  Mentions Légales