Последно актуализиране :
27/01/2026
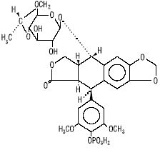
противораково лекарство   Etoposide phosphate  
Инжекция/Инжекционен
Стабилност на разтвори Стабилност на смеси Фактори, повлияващи стабилността Съвместимост Път на въвеждане Библиография Pdf
   Химична структура  

Търговско наименование   Търговско наименование     

Търговските имена са примерни и съставът на помощните вещества може да бъде различен в зависимост от държавата и лабораториите

Etopofos Австрия, Гърция, Швеция
Etopophos Белгия, България, Великобритания, Германия, Израел, Люксенбург, нова Зеландия, Полша, Съединени Американски щати / САЩ, Франция, Холандия, Швейцария
Стабилност на разтвори   Инжекция/Инжекционен   Стабилност на разтвори : Etoposide phosphate     
Контейнер Разтворител Концентрация Температура Съхранение Продължителност на стабилността Библиография
Стъкло Вода за инжекции 10 & 20 mg/ml 2-8°C Защита от светлина
7 Ден
3655
Данни за стабилност на производителя

Стъкло Вода за инжекции 10 & 20 mg/ml 25°C Светлина
96 Час
3655
Данни за стабилност на производителя

Стъкло Вода за инжекции 10 & 20 mg/ml 37°C Светлина
48 Час
3655
Данни за стабилност на производителя

Стъкло Sodium chloride 0,9% > 0,1 mg/ml 2-8°C Защита от светлина
7 Ден
3655
Данни за стабилност на производителя

Стъкло Sodium chloride 0,9% > 0,1 mg/ml 25°C Светлина
96 Час
3655
Данни за стабилност на производителя

Стъкло Sodium chloride 0,9% > 0,1 mg/ml 37°C Светлина
48 Час
3655
Данни за стабилност на производителя

Стъкло Sodium chloride 0,9% 10 & 20 mg/ml 2-8°C Защита от светлина
7 Ден
3655
Данни за стабилност на производителя

Стъкло Sodium chloride 0,9% 10 & 20 mg/ml 25°C Светлина
96 Час
3655
Данни за стабилност на производителя

Стъкло Sodium chloride 0,9% 10 & 20 mg/ml 37°C Светлина
48 Час
3655
Данни за стабилност на производителя

Стъкло Glucose 5% > 0,1 mg/ml 2-8°C Защита от светлина
7 Ден
3655
Данни за стабилност на производителя

Стъкло Glucose 5% > 0,1 mg/ml 25°C Светлина
96 Час
3655
Данни за стабилност на производителя

Стъкло Glucose 5% > 0,1 mg/ml 37°C Светлина
48 Час
3655
Данни за стабилност на производителя

Стъкло Glucose 5% 10 & 20 mg/ml 2-8°C Защита от светлина
7 Ден
3655
Данни за стабилност на производителя

Стъкло Glucose 5% 10 & 20 mg/ml 25°C Светлина
96 Час
3655
Данни за стабилност на производителя

Стъкло Glucose 5% 10 & 20 mg/ml 37°C Светлина
48 Час
3655
Данни за стабилност на производителя

Поливинил хлорид Sodium chloride 0,9% > 0,1 mg/ml 2-8°C Защита от светлина
7 Ден
3655
Данни за стабилност на производителя

Поливинил хлорид Sodium chloride 0,9% > 0,1 mg/ml 25°C Светлина
96 Час
3655
Данни за стабилност на производителя

Поливинил хлорид Sodium chloride 0,9% > 0,1 mg/ml 37°C Светлина
48 Час
3655
Данни за стабилност на производителя

Поливинил хлорид Sodium chloride 0,9% 0,1 & 10 mg/ml 23°C Не е уточнено
31 Ден
1411
Степен на доказаност B+

Поливинил хлорид Sodium chloride 0,9% 0,1 & 10 mg/ml 32°C Не е уточнено
7 Ден
1411
Степен на доказаност B+

Поливинил хлорид Sodium chloride 0,9% 0,1 & 10 mg/ml 4°C Защита от светлина
31 Ден
1411
Степен на доказаност B+

Поливинил хлорид Glucose 5% > 0,1 mg/ml 2-8°C Защита от светлина
7 Ден
3655
Данни за стабилност на производителя

Поливинил хлорид Glucose 5% > 0,1 mg/ml 25°C Светлина
96 Час
3655
Данни за стабилност на производителя

Поливинил хлорид Glucose 5% > 0,1 mg/ml 37°C Светлина
48 Час
3655
Данни за стабилност на производителя

Поливинил хлорид Glucose 5% 0,1 & 10 mg/ml 23°C Не е уточнено
31 Ден
1411
Степен на доказаност B+

Поливинил хлорид Glucose 5% 0,1 & 10 mg/ml 32°C Не е уточнено
7 Ден
1411
Степен на доказаност B+

Поливинил хлорид Glucose 5% 0,1 & 10 mg/ml 4°C Защита от светлина
31 Ден
1411
Степен на доказаност B+

Полиолефин Sodium chloride 0,9% > 0,1 mg/ml 2-8°C Защита от светлина
7 Ден
3655
Данни за стабилност на производителя

Полиолефин Sodium chloride 0,9% > 0,1 mg/ml 25°C Светлина
96 Час
3655
Данни за стабилност на производителя

Полиолефин Sodium chloride 0,9% > 0,1 mg/ml 37°C Светлина
48 Час
3655
Данни за стабилност на производителя

Полиолефин Glucose 5% > 0,1 mg/ml 2-8°C Защита от светлина
7 Ден
3655
Данни за стабилност на производителя

Полиолефин Glucose 5% > 0,1 mg/ml 25°C Светлина
96 Час
3655
Данни за стабилност на производителя

Полиолефин Glucose 5% > 0,1 mg/ml 37°C Светлина
48 Час
3655
Данни за стабилност на производителя

шприц полипропилен Вода за инжекции + антибактериално 10 & 20 mg/ml 23°C Не е уточнено
31 Ден
1411
Степен на доказаност B+

шприц полипропилен Вода за инжекции + антибактериално 10 & 20 mg/ml 32°C Не е уточнено
7 Ден
1411
Степен на доказаност B+

шприц полипропилен Вода за инжекции + антибактериално 10 & 20 mg/ml 4°C Защита от светлина
31 Ден
1411
Степен на доказаност B+


  Mentions Légales