Dernière mise à jour :
17/12/2025
Anticancéreux   Etoposide phosphate  
injectable
Stabilité des solutions Stabilité en mélange Facteur influençant la stabilité Compatibilités Voie d’administration Bibliographie pdf
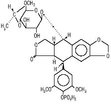
   Structure chimique  

Noms commerciaux   Noms commerciaux     

Les noms commerciaux sont donnés à titre indicatif et la composition en excipients peut être différente selon les pays et selon les laboratoires

Etopofos Autriche, Grèce, Suède
Etopophos Allemagne, Belgique, Bulgarie, Etats Unis d’Amérique, France, Grande Bretagne, Israël, Luxembourg, Nouvelle Zélande, Pays bas, Pologne, Suisse
Stabilité des solutions   injectable   Stabilité des solutions : Etoposide phosphate     
Contenant Solvant Concentration Température Conservation Durée de stabilité Bibliographie
Verre Eau pour préparation injectable 10 & 20 mg/ml 2-8°C A l’abri de la lumière
7 Jour
3655
Données de stabilité du fabricant

Verre Eau pour préparation injectable 10 & 20 mg/ml 25°C Lumière
96 Heure
3655
Données de stabilité du fabricant

Verre Eau pour préparation injectable 10 & 20 mg/ml 37°C Lumière
48 Heure
3655
Données de stabilité du fabricant

Verre Chlorure de sodium 0,9% > 0,1 mg/ml 2-8°C A l’abri de la lumière
7 Jour
3655
Données de stabilité du fabricant

Verre Chlorure de sodium 0,9% > 0,1 mg/ml 25°C Lumière
96 Heure
3655
Données de stabilité du fabricant

Verre Chlorure de sodium 0,9% > 0,1 mg/ml 37°C Lumière
48 Heure
3655
Données de stabilité du fabricant

Verre Chlorure de sodium 0,9% 10 & 20 mg/ml 2-8°C A l’abri de la lumière
7 Jour
3655
Données de stabilité du fabricant

Verre Chlorure de sodium 0,9% 10 & 20 mg/ml 25°C Lumière
96 Heure
3655
Données de stabilité du fabricant

Verre Chlorure de sodium 0,9% 10 & 20 mg/ml 37°C Lumière
48 Heure
3655
Données de stabilité du fabricant

Verre Glucose 5% > 0,1 mg/ml 2-8°C A l’abri de la lumière
7 Jour
3655
Données de stabilité du fabricant

Verre Glucose 5% > 0,1 mg/ml 25°C Lumière
96 Heure
3655
Données de stabilité du fabricant

Verre Glucose 5% > 0,1 mg/ml 37°C Lumière
48 Heure
3655
Données de stabilité du fabricant

Verre Glucose 5% 10 & 20 mg/ml 2-8°C A l’abri de la lumière
7 Jour
3655
Données de stabilité du fabricant

Verre Glucose 5% 10 & 20 mg/ml 25°C Lumière
96 Heure
3655
Données de stabilité du fabricant

Verre Glucose 5% 10 & 20 mg/ml 37°C Lumière
48 Heure
3655
Données de stabilité du fabricant

Polyvinyl chlorure Chlorure de sodium 0,9% > 0,1 mg/ml 2-8°C A l’abri de la lumière
7 Jour
3655
Données de stabilité du fabricant

Polyvinyl chlorure Chlorure de sodium 0,9% > 0,1 mg/ml 25°C Lumière
96 Heure
3655
Données de stabilité du fabricant

Polyvinyl chlorure Chlorure de sodium 0,9% > 0,1 mg/ml 37°C Lumière
48 Heure
3655
Données de stabilité du fabricant

Polyvinyl chlorure Chlorure de sodium 0,9% 0,1 & 10 mg/ml 23°C Non précisée
31 Jour
1411
Niveau de preuve B +

Polyvinyl chlorure Chlorure de sodium 0,9% 0,1 & 10 mg/ml 32°C Non précisée
7 Jour
1411
Niveau de preuve B +

Polyvinyl chlorure Chlorure de sodium 0,9% 0,1 & 10 mg/ml 4°C A l’abri de la lumière
31 Jour
1411
Niveau de preuve B +

Polyvinyl chlorure Glucose 5% > 0,1 mg/ml 2-8°C A l’abri de la lumière
7 Jour
3655
Données de stabilité du fabricant

Polyvinyl chlorure Glucose 5% > 0,1 mg/ml 25°C Lumière
96 Heure
3655
Données de stabilité du fabricant

Polyvinyl chlorure Glucose 5% > 0,1 mg/ml 37°C Lumière
48 Heure
3655
Données de stabilité du fabricant

Polyvinyl chlorure Glucose 5% 0,1 & 10 mg/ml 23°C Non précisée
31 Jour
1411
Niveau de preuve B +

Polyvinyl chlorure Glucose 5% 0,1 & 10 mg/ml 32°C Non précisée
7 Jour
1411
Niveau de preuve B +

Polyvinyl chlorure Glucose 5% 0,1 & 10 mg/ml 4°C A l’abri de la lumière
31 Jour
1411
Niveau de preuve B +

Polyolefine Chlorure de sodium 0,9% > 0,1 mg/ml 2-8°C A l’abri de la lumière
7 Jour
3655
Données de stabilité du fabricant

Polyolefine Chlorure de sodium 0,9% > 0,1 mg/ml 25°C Lumière
96 Heure
3655
Données de stabilité du fabricant

Polyolefine Chlorure de sodium 0,9% > 0,1 mg/ml 37°C Lumière
48 Heure
3655
Données de stabilité du fabricant

Polyolefine Glucose 5% > 0,1 mg/ml 2-8°C A l’abri de la lumière
7 Jour
3655
Données de stabilité du fabricant

Polyolefine Glucose 5% > 0,1 mg/ml 25°C Lumière
96 Heure
3655
Données de stabilité du fabricant

Polyolefine Glucose 5% > 0,1 mg/ml 37°C Lumière
48 Heure
3655
Données de stabilité du fabricant

Seringue polypropylène Eau ppi  + bactériostatique 10 & 20 mg/ml 23°C Non précisée
31 Jour
1411
Niveau de preuve B +

Seringue polypropylène Eau ppi  + bactériostatique 10 & 20 mg/ml 32°C Non précisée
7 Jour
1411
Niveau de preuve B +

Seringue polypropylène Eau ppi  + bactériostatique 10 & 20 mg/ml 4°C A l’abri de la lumière
31 Jour
1411
Niveau de preuve B +


  Mentions Légales