viimane versioon :
27/01/2026
vähiravimite   Etoposide phosphate  
Süsteravim
Stabiilsus lahustes Stabiilsust mõjutavad tegurid stabiilsust mõjutavad faktorid Sobimatus Manustamis viis Viited pdf
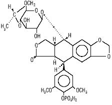
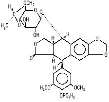
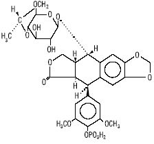
   keemiline struktuur  

Kaubanduslikud nimed erinevates maades   Kaubanduslikud nimed erinevates maades     

Preparaatide nimed on näitlikud ja abianete sisaldus võib erineda sõltuvalt riigist ja laborist

Etopofos Austria, Kreeka, Rootsi
Etopophos Ameerika ühendriigid, Belgia, Bulgaaria, Holland, Iisrael, Luksemburg, Poola, Prantsusmaa, Saksamaa, Suurbritannia, Sveits, uus-Meremaa
Stabiilsus lahustes   Süsteravim   Stabiilsus lahustes : Etoposide phosphate     
konteiner lahusti kontsentratsioon temperatuur ladustamine Stabiilsuse kestus Viited
klaas süstevesi 10 & 20 mg/ml 2-8°C kaitsta valguse eest
7 päev
3655
Tootja info stabiilsuse kohta

klaas süstevesi 10 & 20 mg/ml 25°C valgus
96 Tund
3655
Tootja info stabiilsuse kohta

klaas süstevesi 10 & 20 mg/ml 37°C valgus
48 Tund
3655
Tootja info stabiilsuse kohta

klaas naatriumkloriid 0.9% > 0,1 mg/ml 2-8°C kaitsta valguse eest
7 päev
3655
Tootja info stabiilsuse kohta

klaas naatriumkloriid 0.9% > 0,1 mg/ml 25°C valgus
96 Tund
3655
Tootja info stabiilsuse kohta

klaas naatriumkloriid 0.9% > 0,1 mg/ml 37°C valgus
48 Tund
3655
Tootja info stabiilsuse kohta

klaas naatriumkloriid 0.9% 10 & 20 mg/ml 2-8°C kaitsta valguse eest
7 päev
3655
Tootja info stabiilsuse kohta

klaas naatriumkloriid 0.9% 10 & 20 mg/ml 25°C valgus
96 Tund
3655
Tootja info stabiilsuse kohta

klaas naatriumkloriid 0.9% 10 & 20 mg/ml 37°C valgus
48 Tund
3655
Tootja info stabiilsuse kohta

klaas glükoos 5% > 0,1 mg/ml 2-8°C kaitsta valguse eest
7 päev
3655
Tootja info stabiilsuse kohta

klaas glükoos 5% > 0,1 mg/ml 25°C valgus
96 Tund
3655
Tootja info stabiilsuse kohta

klaas glükoos 5% > 0,1 mg/ml 37°C valgus
48 Tund
3655
Tootja info stabiilsuse kohta

klaas glükoos 5% 10 & 20 mg/ml 2-8°C kaitsta valguse eest
7 päev
3655
Tootja info stabiilsuse kohta

klaas glükoos 5% 10 & 20 mg/ml 25°C valgus
96 Tund
3655
Tootja info stabiilsuse kohta

klaas glükoos 5% 10 & 20 mg/ml 37°C valgus
48 Tund
3655
Tootja info stabiilsuse kohta

polüvinüülkloriid naatriumkloriid 0.9% > 0,1 mg/ml 2-8°C kaitsta valguse eest
7 päev
3655
Tootja info stabiilsuse kohta

polüvinüülkloriid naatriumkloriid 0.9% > 0,1 mg/ml 25°C valgus
96 Tund
3655
Tootja info stabiilsuse kohta

polüvinüülkloriid naatriumkloriid 0.9% > 0,1 mg/ml 37°C valgus
48 Tund
3655
Tootja info stabiilsuse kohta

polüvinüülkloriid naatriumkloriid 0.9% 0,1 & 10 mg/ml 23°C pole täpsustatud
31 päev
1411
Tõenduspõhisuse tase B+

polüvinüülkloriid naatriumkloriid 0.9% 0,1 & 10 mg/ml 32°C pole täpsustatud
7 päev
1411
Tõenduspõhisuse tase B+

polüvinüülkloriid naatriumkloriid 0.9% 0,1 & 10 mg/ml 4°C kaitsta valguse eest
31 päev
1411
Tõenduspõhisuse tase B+

polüvinüülkloriid glükoos 5% > 0,1 mg/ml 2-8°C kaitsta valguse eest
7 päev
3655
Tootja info stabiilsuse kohta

polüvinüülkloriid glükoos 5% > 0,1 mg/ml 25°C valgus
96 Tund
3655
Tootja info stabiilsuse kohta

polüvinüülkloriid glükoos 5% > 0,1 mg/ml 37°C valgus
48 Tund
3655
Tootja info stabiilsuse kohta

polüvinüülkloriid glükoos 5% 0,1 & 10 mg/ml 23°C pole täpsustatud
31 päev
1411
Tõenduspõhisuse tase B+

polüvinüülkloriid glükoos 5% 0,1 & 10 mg/ml 32°C pole täpsustatud
7 päev
1411
Tõenduspõhisuse tase B+

polüvinüülkloriid glükoos 5% 0,1 & 10 mg/ml 4°C kaitsta valguse eest
31 päev
1411
Tõenduspõhisuse tase B+

polüolefiin naatriumkloriid 0.9% > 0,1 mg/ml 2-8°C kaitsta valguse eest
7 päev
3655
Tootja info stabiilsuse kohta

polüolefiin naatriumkloriid 0.9% > 0,1 mg/ml 25°C valgus
96 Tund
3655
Tootja info stabiilsuse kohta

polüolefiin naatriumkloriid 0.9% > 0,1 mg/ml 37°C valgus
48 Tund
3655
Tootja info stabiilsuse kohta

polüolefiin glükoos 5% > 0,1 mg/ml 2-8°C kaitsta valguse eest
7 päev
3655
Tootja info stabiilsuse kohta

polüolefiin glükoos 5% > 0,1 mg/ml 25°C valgus
96 Tund
3655
Tootja info stabiilsuse kohta

polüolefiin glükoos 5% > 0,1 mg/ml 37°C valgus
48 Tund
3655
Tootja info stabiilsuse kohta

süstal  polüpropüleenist apürogeenne vesi 10 & 20 mg/ml 23°C pole täpsustatud
31 päev
1411
Tõenduspõhisuse tase B+

süstal  polüpropüleenist apürogeenne vesi 10 & 20 mg/ml 32°C pole täpsustatud
7 päev
1411
Tõenduspõhisuse tase B+

süstal  polüpropüleenist apürogeenne vesi 10 & 20 mg/ml 4°C kaitsta valguse eest
31 päev
1411
Tõenduspõhisuse tase B+


  Mentions Légales