Senaste uppdateringen :
27/01/2026
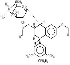
cancerläkemedel   Etoposide phosphate  
injektion
Lösningars stabilitet Stabilitet i blandningar Faktorer som påverkar stabiliteten Kompatibilitet Administreringssätt Hänvisningar pdf
   Molekylstruktur  

Varunamn   Varunamn     

Angivna handelsnamn på läkemedel är enbart vägledande då formulering inklusive hjälpämnen kan variera mellan länder och tillverkare

Etopofos Grekland, Österrike, Sverige
Etopophos Belgien, Bulgarien, Förenta Staterna, Frankrike, Israel, Luxemburg, Nederländerna, nya Zeeland, Polen, Schweiz, Storbritannien, Tyskland
Lösningars stabilitet   injektion   Lösningars stabilitet : Etoposide phosphate     
Behållare Lösningsmedel Koncentration Temperatur Förvaring Stabilitets varaktighet Hänvisningar
Glas Vatten för injektion 10 & 20 mg/ml 2-8°C Skyddas från ljus
7 Dag
3655
Tillverkarens stabilitetsuppgifter

Glas Vatten för injektion 10 & 20 mg/ml 25°C Ljus
96 Timma
3655
Tillverkarens stabilitetsuppgifter

Glas Vatten för injektion 10 & 20 mg/ml 37°C Ljus
48 Timma
3655
Tillverkarens stabilitetsuppgifter

Glas Natriumklorid 0,9 % > 0,1 mg/ml 2-8°C Skyddas från ljus
7 Dag
3655
Tillverkarens stabilitetsuppgifter

Glas Natriumklorid 0,9 % > 0,1 mg/ml 25°C Ljus
96 Timma
3655
Tillverkarens stabilitetsuppgifter

Glas Natriumklorid 0,9 % > 0,1 mg/ml 37°C Ljus
48 Timma
3655
Tillverkarens stabilitetsuppgifter

Glas Natriumklorid 0,9 % 10 & 20 mg/ml 2-8°C Skyddas från ljus
7 Dag
3655
Tillverkarens stabilitetsuppgifter

Glas Natriumklorid 0,9 % 10 & 20 mg/ml 25°C Ljus
96 Timma
3655
Tillverkarens stabilitetsuppgifter

Glas Natriumklorid 0,9 % 10 & 20 mg/ml 37°C Ljus
48 Timma
3655
Tillverkarens stabilitetsuppgifter

Glas Glukos 5 % > 0,1 mg/ml 2-8°C Skyddas från ljus
7 Dag
3655
Tillverkarens stabilitetsuppgifter

Glas Glukos 5 % > 0,1 mg/ml 25°C Ljus
96 Timma
3655
Tillverkarens stabilitetsuppgifter

Glas Glukos 5 % > 0,1 mg/ml 37°C Ljus
48 Timma
3655
Tillverkarens stabilitetsuppgifter

Glas Glukos 5 % 10 & 20 mg/ml 2-8°C Skyddas från ljus
7 Dag
3655
Tillverkarens stabilitetsuppgifter

Glas Glukos 5 % 10 & 20 mg/ml 25°C Ljus
96 Timma
3655
Tillverkarens stabilitetsuppgifter

Glas Glukos 5 % 10 & 20 mg/ml 37°C Ljus
48 Timma
3655
Tillverkarens stabilitetsuppgifter

Polyvinylklorid Natriumklorid 0,9 % > 0,1 mg/ml 2-8°C Skyddas från ljus
7 Dag
3655
Tillverkarens stabilitetsuppgifter

Polyvinylklorid Natriumklorid 0,9 % > 0,1 mg/ml 25°C Ljus
96 Timma
3655
Tillverkarens stabilitetsuppgifter

Polyvinylklorid Natriumklorid 0,9 % > 0,1 mg/ml 37°C Ljus
48 Timma
3655
Tillverkarens stabilitetsuppgifter

Polyvinylklorid Natriumklorid 0,9 % 0,1 & 10 mg/ml 23°C Ej angiven
31 Dag
1411
Evidensnivå B+

Polyvinylklorid Natriumklorid 0,9 % 0,1 & 10 mg/ml 32°C Ej angiven
7 Dag
1411
Evidensnivå B+

Polyvinylklorid Natriumklorid 0,9 % 0,1 & 10 mg/ml 4°C Skyddas från ljus
31 Dag
1411
Evidensnivå B+

Polyvinylklorid Glukos 5 % > 0,1 mg/ml 2-8°C Skyddas från ljus
7 Dag
3655
Tillverkarens stabilitetsuppgifter

Polyvinylklorid Glukos 5 % > 0,1 mg/ml 25°C Ljus
96 Timma
3655
Tillverkarens stabilitetsuppgifter

Polyvinylklorid Glukos 5 % > 0,1 mg/ml 37°C Ljus
48 Timma
3655
Tillverkarens stabilitetsuppgifter

Polyvinylklorid Glukos 5 % 0,1 & 10 mg/ml 23°C Ej angiven
31 Dag
1411
Evidensnivå B+

Polyvinylklorid Glukos 5 % 0,1 & 10 mg/ml 32°C Ej angiven
7 Dag
1411
Evidensnivå B+

Polyvinylklorid Glukos 5 % 0,1 & 10 mg/ml 4°C Skyddas från ljus
31 Dag
1411
Evidensnivå B+

Polyolefin Natriumklorid 0,9 % > 0,1 mg/ml 2-8°C Skyddas från ljus
7 Dag
3655
Tillverkarens stabilitetsuppgifter

Polyolefin Natriumklorid 0,9 % > 0,1 mg/ml 25°C Ljus
96 Timma
3655
Tillverkarens stabilitetsuppgifter

Polyolefin Natriumklorid 0,9 % > 0,1 mg/ml 37°C Ljus
48 Timma
3655
Tillverkarens stabilitetsuppgifter

Polyolefin Glukos 5 % > 0,1 mg/ml 2-8°C Skyddas från ljus
7 Dag
3655
Tillverkarens stabilitetsuppgifter

Polyolefin Glukos 5 % > 0,1 mg/ml 25°C Ljus
96 Timma
3655
Tillverkarens stabilitetsuppgifter

Polyolefin Glukos 5 % > 0,1 mg/ml 37°C Ljus
48 Timma
3655
Tillverkarens stabilitetsuppgifter

Spruta polypropen Vatten för injektion + bakteriostatisk substans 10 & 20 mg/ml 23°C Ej angiven
31 Dag
1411
Evidensnivå B+

Spruta polypropen Vatten för injektion + bakteriostatisk substans 10 & 20 mg/ml 32°C Ej angiven
7 Dag
1411
Evidensnivå B+

Spruta polypropen Vatten för injektion + bakteriostatisk substans 10 & 20 mg/ml 4°C Skyddas från ljus
31 Dag
1411
Evidensnivå B+


  Mentions Légales