Poslední aktualizace :
27/01/2026
rakovina drog   Etoposide phosphate  
injekce
Stabilita roztoků Stabilita směsí Faktory ovlivňující stabilitu Kompatibilita Způsoby aplikace Odkazy pdf
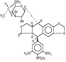
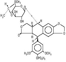
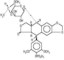
   Chemický vzorec  

Obchodní název   Obchodní název     

Trade names are indicative and excipients composition can be different depending on the country and manufacturers

Etopofos Rakousko, Švédsko, ÿecko
Etopophos Belgie, Bulharsko, Francie, Izrael, Lucembursko, NÏmecko, Nizozemsko, nový Zéland, Polsko, Švýcarsko, USA, Velká Británie
Stabilita roztoků   injekce   Stabilita roztoků : Etoposide phosphate     
Obal RozpouötÏdlo Koncentrace Teplota Uchovávání Trvání stability Odkazy
Sklo Voda pro injekci 10 & 20 mg/ml 2-8°C Chráněno před světlem
7 Den
3655
Údaje o stabilitě od výrobce

Sklo Voda pro injekci 10 & 20 mg/ml 25°C SvÏtlo
96 Hodina
3655
Údaje o stabilitě od výrobce

Sklo Voda pro injekci 10 & 20 mg/ml 37°C SvÏtlo
48 Hodina
3655
Údaje o stabilitě od výrobce

Sklo Chlorid sodný 0,9% > 0,1 mg/ml 2-8°C Chráněno před světlem
7 Den
3655
Údaje o stabilitě od výrobce

Sklo Chlorid sodný 0,9% > 0,1 mg/ml 25°C SvÏtlo
96 Hodina
3655
Údaje o stabilitě od výrobce

Sklo Chlorid sodný 0,9% > 0,1 mg/ml 37°C SvÏtlo
48 Hodina
3655
Údaje o stabilitě od výrobce

Sklo Chlorid sodný 0,9% 10 & 20 mg/ml 2-8°C Chráněno před světlem
7 Den
3655
Údaje o stabilitě od výrobce

Sklo Chlorid sodný 0,9% 10 & 20 mg/ml 25°C SvÏtlo
96 Hodina
3655
Údaje o stabilitě od výrobce

Sklo Chlorid sodný 0,9% 10 & 20 mg/ml 37°C SvÏtlo
48 Hodina
3655
Údaje o stabilitě od výrobce

Sklo GlukÛza 5% > 0,1 mg/ml 2-8°C Chráněno před světlem
7 Den
3655
Údaje o stabilitě od výrobce

Sklo GlukÛza 5% > 0,1 mg/ml 25°C SvÏtlo
96 Hodina
3655
Údaje o stabilitě od výrobce

Sklo GlukÛza 5% > 0,1 mg/ml 37°C SvÏtlo
48 Hodina
3655
Údaje o stabilitě od výrobce

Sklo GlukÛza 5% 10 & 20 mg/ml 2-8°C Chráněno před světlem
7 Den
3655
Údaje o stabilitě od výrobce

Sklo GlukÛza 5% 10 & 20 mg/ml 25°C SvÏtlo
96 Hodina
3655
Údaje o stabilitě od výrobce

Sklo GlukÛza 5% 10 & 20 mg/ml 37°C SvÏtlo
48 Hodina
3655
Údaje o stabilitě od výrobce

Polyvinyl chlorid Chlorid sodný 0,9% > 0,1 mg/ml 2-8°C Chráněno před světlem
7 Den
3655
Údaje o stabilitě od výrobce

Polyvinyl chlorid Chlorid sodný 0,9% > 0,1 mg/ml 25°C SvÏtlo
96 Hodina
3655
Údaje o stabilitě od výrobce

Polyvinyl chlorid Chlorid sodný 0,9% > 0,1 mg/ml 37°C SvÏtlo
48 Hodina
3655
Údaje o stabilitě od výrobce

Polyvinyl chlorid Chlorid sodný 0,9% 0,1 & 10 mg/ml 23°C Nespecifikováno
31 Den
1411
Úroveň zkoušky B+

Polyvinyl chlorid Chlorid sodný 0,9% 0,1 & 10 mg/ml 32°C Nespecifikováno
7 Den
1411
Úroveň zkoušky B+

Polyvinyl chlorid Chlorid sodný 0,9% 0,1 & 10 mg/ml 4°C Chráněno před světlem
31 Den
1411
Úroveň zkoušky B+

Polyvinyl chlorid GlukÛza 5% > 0,1 mg/ml 2-8°C Chráněno před světlem
7 Den
3655
Údaje o stabilitě od výrobce

Polyvinyl chlorid GlukÛza 5% > 0,1 mg/ml 25°C SvÏtlo
96 Hodina
3655
Údaje o stabilitě od výrobce

Polyvinyl chlorid GlukÛza 5% > 0,1 mg/ml 37°C SvÏtlo
48 Hodina
3655
Údaje o stabilitě od výrobce

Polyvinyl chlorid GlukÛza 5% 0,1 & 10 mg/ml 23°C Nespecifikováno
31 Den
1411
Úroveň zkoušky B+

Polyvinyl chlorid GlukÛza 5% 0,1 & 10 mg/ml 32°C Nespecifikováno
7 Den
1411
Úroveň zkoušky B+

Polyvinyl chlorid GlukÛza 5% 0,1 & 10 mg/ml 4°C Chráněno před světlem
31 Den
1411
Úroveň zkoušky B+

Polyoleofin Chlorid sodný 0,9% > 0,1 mg/ml 2-8°C Chráněno před světlem
7 Den
3655
Údaje o stabilitě od výrobce

Polyoleofin Chlorid sodný 0,9% > 0,1 mg/ml 25°C SvÏtlo
96 Hodina
3655
Údaje o stabilitě od výrobce

Polyoleofin Chlorid sodný 0,9% > 0,1 mg/ml 37°C SvÏtlo
48 Hodina
3655
Údaje o stabilitě od výrobce

Polyoleofin GlukÛza 5% > 0,1 mg/ml 2-8°C Chráněno před světlem
7 Den
3655
Údaje o stabilitě od výrobce

Polyoleofin GlukÛza 5% > 0,1 mg/ml 25°C SvÏtlo
96 Hodina
3655
Údaje o stabilitě od výrobce

Polyoleofin GlukÛza 5% > 0,1 mg/ml 37°C SvÏtlo
48 Hodina
3655
Údaje o stabilitě od výrobce

stříkačka polypropylen Voda pro injekci +antibakteriální přísada 10 & 20 mg/ml 23°C Nespecifikováno
31 Den
1411
Úroveň zkoušky B+

stříkačka polypropylen Voda pro injekci +antibakteriální přísada 10 & 20 mg/ml 32°C Nespecifikováno
7 Den
1411
Úroveň zkoušky B+

stříkačka polypropylen Voda pro injekci +antibakteriální přísada 10 & 20 mg/ml 4°C Chráněno před světlem
31 Den
1411
Úroveň zkoušky B+


  Mentions Légales