Senaste uppdateringen :
18/03/2026
Antikoagulans   Heparin sodium  
injektion
Lösningars stabilitet Stabilitet i blandningar Faktorer som påverkar stabiliteten Kompatibilitet Administreringssätt Hänvisningar pdf
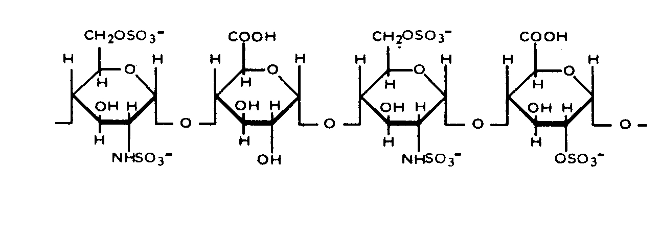
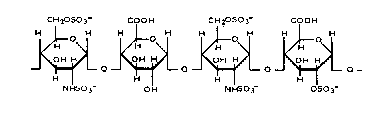
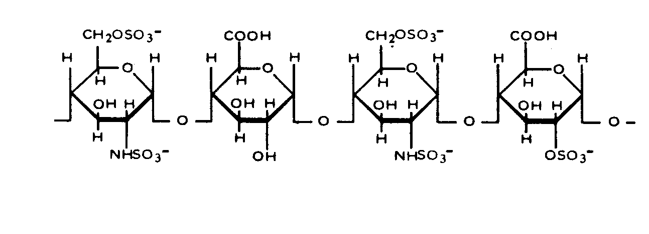
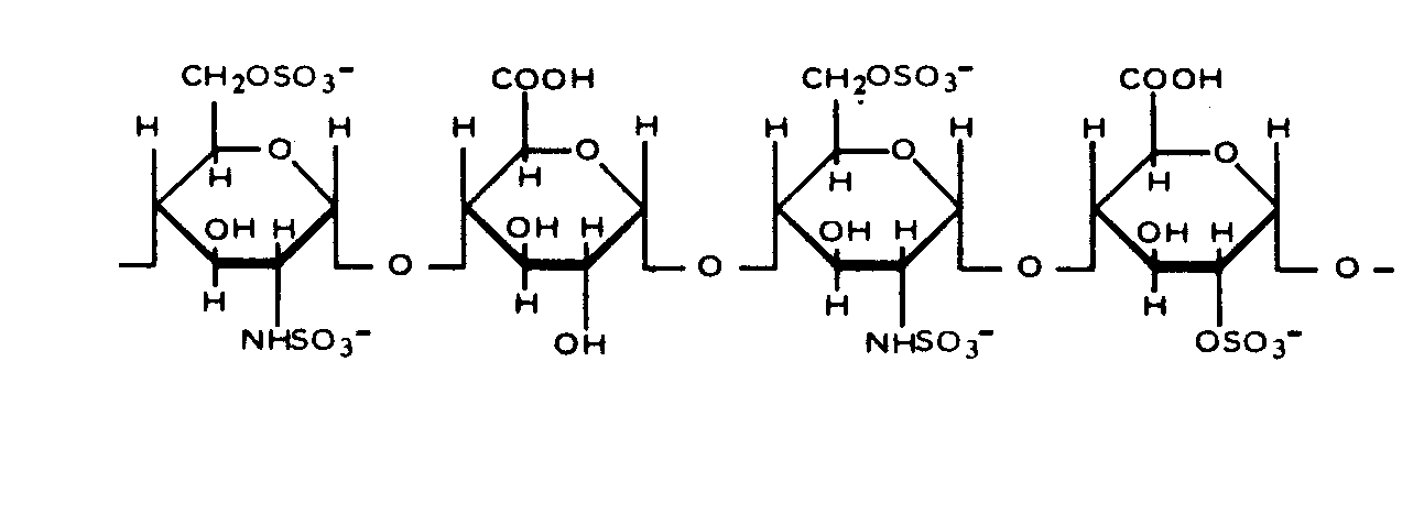
   Molekylstruktur  

Varunamn   Varunamn     

Angivna handelsnamn på läkemedel är enbart vägledande då formulering inklusive hjälpämnen kan variera mellan länder och tillverkare

Arapin Chile
Ateroclar Italien
Clarisco Italien
Epsoclar Italien
Hepaflex Finland, Norge
Hepamax Chile, Colombia, Ecuador
Heparin Danmark, Finland, Förenta Staterna, Grekland, Jugoslavien, Kanada, Nederländerna, Norge, Österrike, ryska, Schweiz, Storbritannien, Sverige, Sydafrikanska republiken, Thailand, Turkiet, Ungern
Heparine Belgien, Frankrike
Heparinised Australien
Heparstad Tyskland
Liquemin Schweiz, Turkiet
Liquemine Brasilien
Monoparin Saudi-Arabien
Normoparin Italien
Nuparin Ecuador
Pharepa Italien
Riveparin Argentina
Sobrius Argentina, Ecuador
Thrombophob Tyskland
Lösningars stabilitet   injektion   Lösningars stabilitet : Heparin sodium     
Behållare Lösningsmedel Koncentration Temperatur Förvaring Stabilitets varaktighet Hänvisningar
Glas Natriumklorid 0,9 % 1 UI/ml 25°C Ljus
365 Dag
4166
Biologisk analys

Polyvinylklorid Natriumklorid 0,9 % 1 UI/ml 20°C-25°C Ej angiven
365 Dag
1291
Biologisk analys

Polyvinylklorid Glukos 5 % 1 UI/ml 20°C-25°C Ej angiven
365 Dag
1291
Biologisk analys

Polyvinylklorid Glukos 5 % 10 UI/ml 20°C-25°C Ej angiven
365 Dag
1291
Biologisk analys

Polyetylen Natriumklorid 0,9 % 7 UI/ml 22°C Skyddas från ljus
24 Timma
1067
Evidensnivå C

Polyetylen Natriumklorid 0,9 % 7 UI/ml 4°C Skyddas från ljus
24 Timma
1067
Evidensnivå C

Polyetylen Glukos 5 % 7 UI/ml 22°C Skyddas från ljus
24 Timma
1067
Evidensnivå C

Polyetylen Glukos 5 % 7 UI/ml 4°C Skyddas från ljus
24 Timma
1067
Evidensnivå C

Spruta polypropen Natriumklorid 0,9 % 1 UI/ml 20°C Ej angiven
365 Dag
1234
Biologisk analys

Spruta polypropen Natriumklorid 0,9 % 1 UI/ml 37°C Ej angiven
365 Dag
1234
Biologisk analys

Spruta polypropen Natriumklorid 0,9 % 100 UI/ml 4°C Skyddas från ljus
14 Dag
895
Biologisk analys

Spruta polypropen Natriumklorid 0,9 % 500 UI/ml 25°C Skyddas från ljus
21 Dag
1183
Biologisk analys

Spruta polypropen Natriumklorid 0,9 % 500 UI/ml 4°C Skyddas från ljus
21 Dag
1183
Biologisk analys

Spruta polypropen Ingen 1000 & 40000 UI/ml 30°C Ej angiven
30 Dag
874
Evidensnivå B

Ej angiven Natriumklorid 0,9 % 5 UI/ml 4°C Skyddas från ljus
28 Dag
791
Biologisk analys


  Mentions Légales