Last update :
18/03/2026
Anticoagulant   Heparin sodium  
injection
Stability in solutions Stability of mixtures Factors which affect stability Compatibility Route of administration References pdf
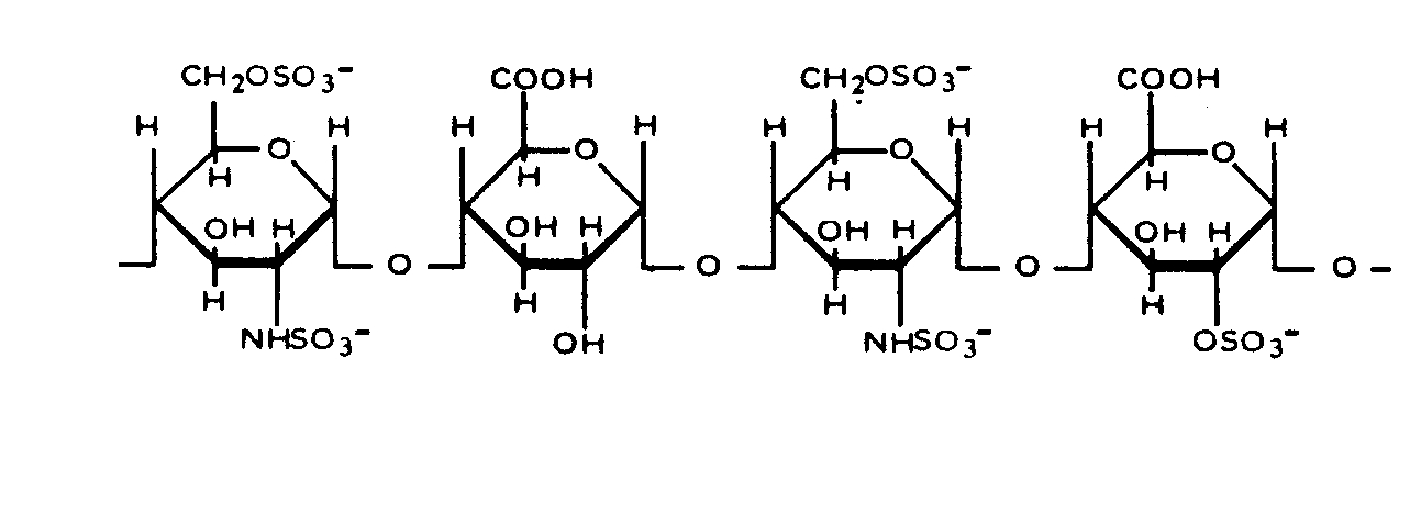
   Chemical structure  

Tradename   Tradename     

Trade names are indicative and excipients composition can be different depending on the country and manufacturers

Arapin Chile
Ateroclar Italy
Clarisco Italy
Epsoclar Italy
Hepaflex Finland, Norway
Hepamax Chile, Colombia, Ecuador
Heparin Austria, Canada, Denmark, Finland, Great Britain, Greece, Hungary, Netherlands, Norway, Republic of South Africa, russian, Serbia, Sweden, Switzerland, Thailand, Turkey, United States of America
Heparine Belgium, France
Heparinised Australia
Heparstad Germany
Liquemin Switzerland, Turkey
Liquemine Brazil
Monoparin Saudi Arabia
Normoparin Italy
Nuparin Ecuador
Pharepa Italy
Riveparin Argentina
Sobrius Argentina, Ecuador
Thrombophob Germany
Stability in solutions   injection   Stability in solutions : Heparin sodium     
Container Solvent Concentration Temperature Storage Duration of stability References
Glass Sodium chloride 0,9% 1 UI/ml 25°C Light
365 Day
4166
Biological analysis

Polyvinyl chloride Sodium chloride 0,9% 1 UI/ml 20°C-25°C Not specified
365 Day
1291
Biological analysis

Polyvinyl chloride Glucose 5% 1 UI/ml 20°C-25°C Not specified
365 Day
1291
Biological analysis

Polyvinyl chloride Glucose 5% 10 UI/ml 20°C-25°C Not specified
365 Day
1291
Biological analysis

Polyethylene Sodium chloride 0,9% 7 UI/ml 22°C Protect from light
24 Hour
1067
Level of evidence C

Polyethylene Sodium chloride 0,9% 7 UI/ml 4°C Protect from light
24 Hour
1067
Level of evidence C

Polyethylene Glucose 5% 7 UI/ml 22°C Protect from light
24 Hour
1067
Level of evidence C

Polyethylene Glucose 5% 7 UI/ml 4°C Protect from light
24 Hour
1067
Level of evidence C

Polypropylen Syringe Sodium chloride 0,9% 1 UI/ml 20°C Not specified
365 Day
1234
Biological analysis

Polypropylen Syringe Sodium chloride 0,9% 1 UI/ml 37°C Not specified
365 Day
1234
Biological analysis

Polypropylen Syringe Sodium chloride 0,9% 100 UI/ml 4°C Protect from light
14 Day
895
Biological analysis

Polypropylen Syringe Sodium chloride 0,9% 500 UI/ml 25°C Protect from light
21 Day
1183
Biological analysis

Polypropylen Syringe Sodium chloride 0,9% 500 UI/ml 4°C Protect from light
21 Day
1183
Biological analysis

Polypropylen Syringe None 1000 & 40000 UI/ml 30°C Not specified
30 Day
874
Level of evidence B

Not specified Sodium chloride 0,9% 5 UI/ml 4°C Protect from light
28 Day
791
Biological analysis


  Mentions Légales