Ultimele actualizari :
18/03/2026
Anticoagulant   Heparin sodium  
Injectabil
Stabilitatea in solutie Stabilitatea in amestec Factorii care influenteaza stabilitatea Compatibilitate Microunde Bibliografie pdf
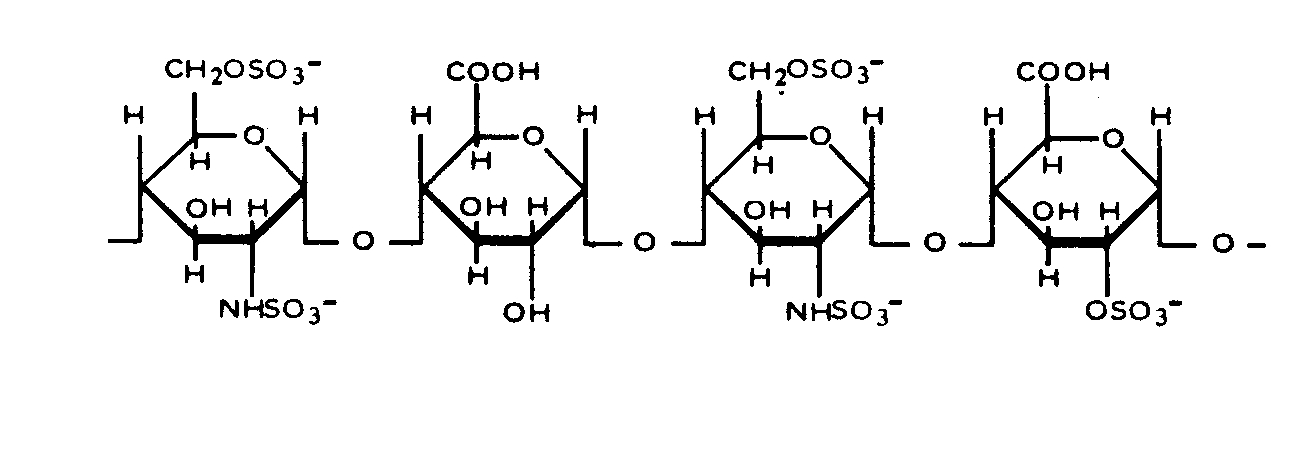
   Formula chimica  

Denumirea comerciala   Denumirea comerciala     

Trade names are indicative and excipients composition can be different depending on the country and manufacturers

Arapin Chilli
Ateroclar Italia
Clarisco Italia
Epsoclar Italia
Hepaflex Finlanda, Norvegia
Hepamax Chilli, Columbia, Ecuador
Heparin Africa de Sud, Austria, Canada, Danemarca, Elvetia, Finlanda, Grecia, Iugoslavia, Marea Britanie, Norvegia, Olanda, rusa, SUA, Suedia, Tailanda, Turcia, Ungaria
Heparine Belgia, Franta
Heparinised Australia
Heparstad Germania
Liquemin Elvetia, Turcia
Liquemine Brazilia
Monoparin Arabia Saudita
Normoparin Italia
Nuparin Ecuador
Pharepa Italia
Riveparin Argentina
Sobrius Argentina, Ecuador
Thrombophob Germania
Stabilitatea in solutie   Injectabil   Stabilitatea in solutie : Heparin sodium     
Continut Solvent Concentratie Temperatura Conservare Durata stabilității Bibiografie
sticla clorura de sodiu 0,9% 1 UI/ml 25°C Lumina
365 Ziua
4166
Analiza biologică

clorura de polivinil clorura de sodiu 0,9% 1 UI/ml 20°C-25°C Neprecizat
365 Ziua
1291
Analiza biologică

clorura de polivinil Glucoza 5% 1 UI/ml 20°C-25°C Neprecizat
365 Ziua
1291
Analiza biologică

clorura de polivinil Glucoza 5% 10 UI/ml 20°C-25°C Neprecizat
365 Ziua
1291
Analiza biologică

polietilen clorura de sodiu 0,9% 7 UI/ml 22°C Ferit de lumina
24 Ora
1067
Nivel de evidență C

polietilen clorura de sodiu 0,9% 7 UI/ml 4°C Ferit de lumina
24 Ora
1067
Nivel de evidență C

polietilen Glucoza 5% 7 UI/ml 22°C Ferit de lumina
24 Ora
1067
Nivel de evidență C

polietilen Glucoza 5% 7 UI/ml 4°C Ferit de lumina
24 Ora
1067
Nivel de evidență C

seringă polipropileno clorura de sodiu 0,9% 1 UI/ml 20°C Neprecizat
365 Ziua
1234
Analiza biologică

seringă polipropileno clorura de sodiu 0,9% 1 UI/ml 37°C Neprecizat
365 Ziua
1234
Analiza biologică

seringă polipropileno clorura de sodiu 0,9% 100 UI/ml 4°C Ferit de lumina
14 Ziua
895
Analiza biologică

seringă polipropileno clorura de sodiu 0,9% 500 UI/ml 25°C Ferit de lumina
21 Ziua
1183
Analiza biologică

seringă polipropileno clorura de sodiu 0,9% 500 UI/ml 4°C Ferit de lumina
21 Ziua
1183
Analiza biologică

seringă polipropileno fara 1000 & 40000 UI/ml 30°C Neprecizat
30 Ziua
874
Nivel de evidență B

neprecizat clorura de sodiu 0,9% 5 UI/ml 4°C Ferit de lumina
28 Ziua
791
Analiza biologică


  Mentions Légales