Dernière mise à jour :
18/03/2026
Anticoagulant   Heparin sodium  
injectable
Stabilité des solutions Stabilité en mélange Facteur influençant la stabilité Compatibilités Voie d’administration Bibliographie pdf
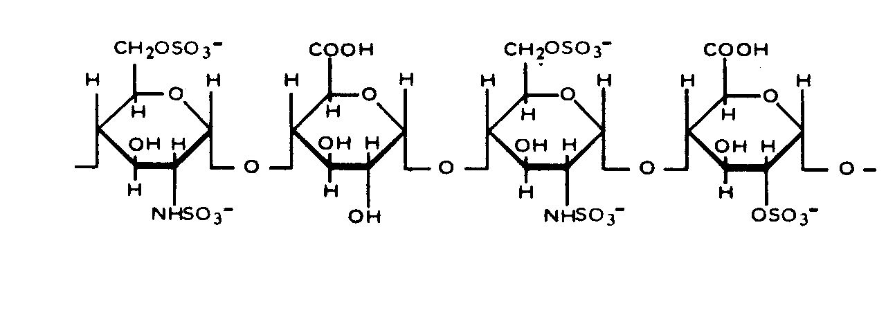
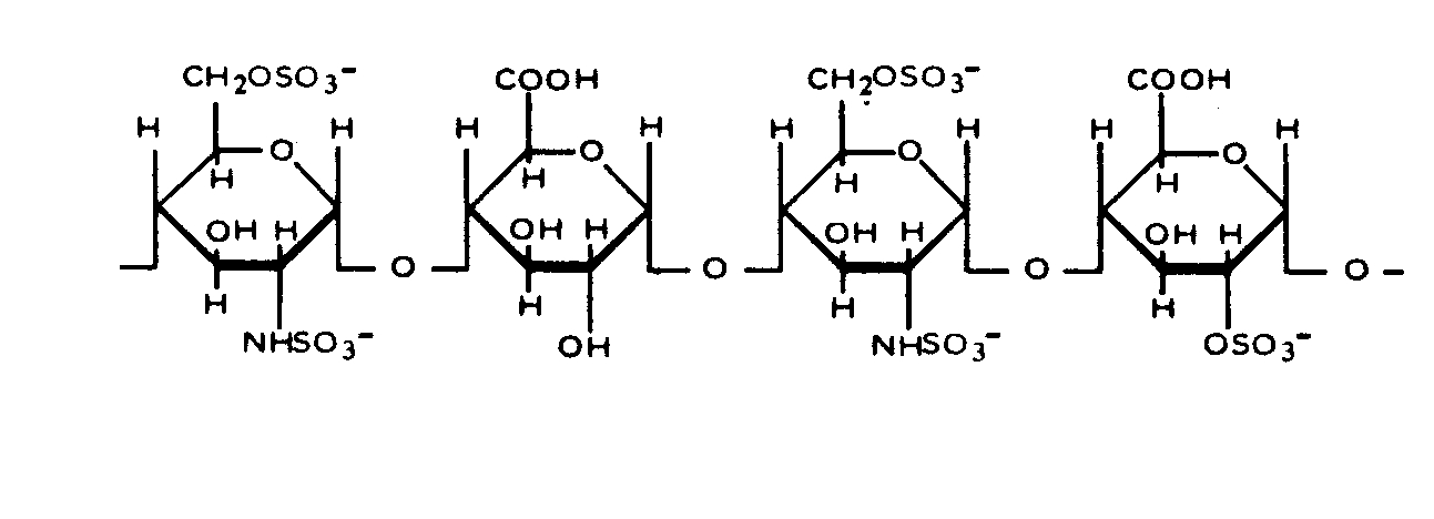
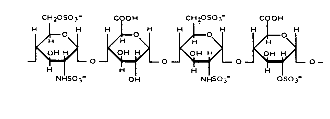
   Structure chimique  

Noms commerciaux   Noms commerciaux     

Les noms commerciaux sont donnés à titre indicatif et la composition en excipients peut être différente selon les pays et selon les laboratoires

Arapin Chili
Ateroclar Italie
Clarisco Italie
Epsoclar Italie
Hepaflex Finlande, Norvège
Hepamax Chili, Colombie, Equateur
Heparin Afrique du sud, Autriche, Canada, Danemark, Etats Unis d’Amérique, Finlande, Grande Bretagne, Grèce, Hongrie, Norvège, Pays bas, Russie, Serbie, Suède, Suisse, Thaïlande, Turquie
Heparine Belgique, France
Heparinised Australie
Heparstad Allemagne
Liquemin Suisse, Turquie
Liquemine Brésil
Monoparin Arabie Saoudite
Normoparin Italie
Nuparin Equateur
Pharepa Italie
Riveparin Argentine
Sobrius Argentine, Equateur
Thrombophob Allemagne
Stabilité des solutions   injectable   Stabilité des solutions : Heparin sodium     
Contenant Solvant Concentration Température Conservation Durée de stabilité Bibliographie
Verre Chlorure de sodium 0,9% 1 UI/ml 25°C Lumière
365 Jour
4166
Méthode biologique

Polyvinyl chlorure Chlorure de sodium 0,9% 1 UI/ml 20°C-25°C Non précisée
365 Jour
1291
Méthode biologique

Polyvinyl chlorure Glucose 5% 1 UI/ml 20°C-25°C Non précisée
365 Jour
1291
Méthode biologique

Polyvinyl chlorure Glucose 5% 10 UI/ml 20°C-25°C Non précisée
365 Jour
1291
Méthode biologique

Polyéthylène Chlorure de sodium 0,9% 7 UI/ml 22°C A l’abri de la lumière
24 Heure
1067
Niveau de preuve C

Polyéthylène Chlorure de sodium 0,9% 7 UI/ml 4°C A l’abri de la lumière
24 Heure
1067
Niveau de preuve C

Polyéthylène Glucose 5% 7 UI/ml 22°C A l’abri de la lumière
24 Heure
1067
Niveau de preuve C

Polyéthylène Glucose 5% 7 UI/ml 4°C A l’abri de la lumière
24 Heure
1067
Niveau de preuve C

Seringue polypropylène Chlorure de sodium 0,9% 1 UI/ml 20°C Non précisée
365 Jour
1234
Méthode biologique

Seringue polypropylène Chlorure de sodium 0,9% 1 UI/ml 37°C Non précisée
365 Jour
1234
Méthode biologique

Seringue polypropylène Chlorure de sodium 0,9% 100 UI/ml 4°C A l’abri de la lumière
14 Jour
895
Méthode biologique

Seringue polypropylène Chlorure de sodium 0,9% 500 UI/ml 25°C A l’abri de la lumière
21 Jour
1183
Méthode biologique

Seringue polypropylène Chlorure de sodium 0,9% 500 UI/ml 4°C A l’abri de la lumière
21 Jour
1183
Méthode biologique

Seringue polypropylène Aucun 1000 & 40000 UI/ml 30°C Non précisée
30 Jour
874
Niveau de preuve B

Non précisé Chlorure de sodium 0,9% 5 UI/ml 4°C A l’abri de la lumière
28 Jour
791
Méthode biologique


  Mentions Légales