Poslední aktualizace :
18/03/2026
Antikoagulans   Heparin sodium  
injekce
Stabilita roztoků Stabilita směsí Faktory ovlivňující stabilitu Kompatibilita Způsoby aplikace Odkazy pdf
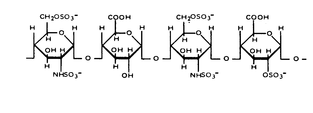
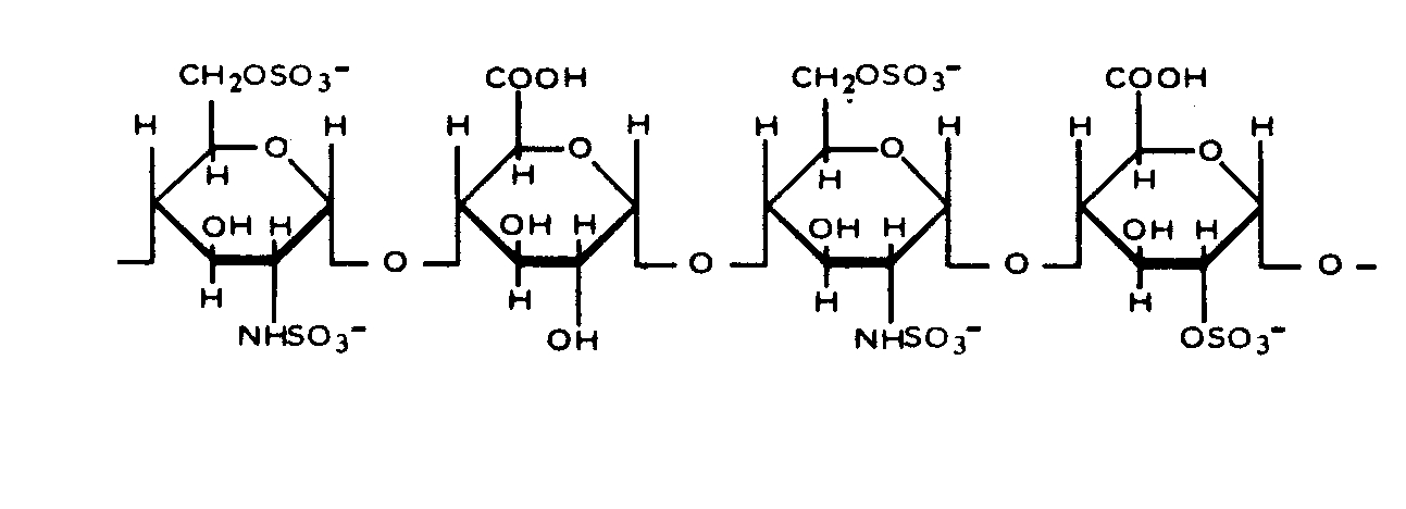
   Chemický vzorec  

Obchodní název   Obchodní název     

Trade names are indicative and excipients composition can be different depending on the country and manufacturers

Arapin Chile
Ateroclar Itálie
Clarisco Itálie
Epsoclar Itálie
Hepaflex Finsko, Norsko
Hepamax Chile, Ekvádor, Kolumbie
Heparin Dánsko, Finsko, Jihoafrická republika, Jugoslávie, Kanada, MaÔarsko, Nizozemsko, Norsko, Rakousko, rusky, Švédsko, Švýcarsko, Thajsko, Turecko, USA, Velká Británie, ÿecko
Heparine Belgie, Francie
Heparinised Austrálie
Heparstad NÏmecko
Liquemin Švýcarsko, Turecko
Liquemine BrazÌlie
Monoparin Saúdská Arábie
Normoparin Itálie
Nuparin Ekvádor
Pharepa Itálie
Riveparin Argentina
Sobrius Argentina, Ekvádor
Thrombophob NÏmecko
Stabilita roztoků   injekce   Stabilita roztoků : Heparin sodium     
Obal RozpouötÏdlo Koncentrace Teplota Uchovávání Trvání stability Odkazy
Sklo Chlorid sodný 0,9% 1 UI/ml 25°C SvÏtlo
365 Den
4166
Biologická metoda

Polyvinyl chlorid Chlorid sodný 0,9% 1 UI/ml 20°C-25°C Nespecifikováno
365 Den
1291
Biologická metoda

Polyvinyl chlorid GlukÛza 5% 1 UI/ml 20°C-25°C Nespecifikováno
365 Den
1291
Biologická metoda

Polyvinyl chlorid GlukÛza 5% 10 UI/ml 20°C-25°C Nespecifikováno
365 Den
1291
Biologická metoda

Polyethylen Chlorid sodný 0,9% 7 UI/ml 22°C Chráněno před světlem
24 Hodina
1067
Úroveň zkoušky C

Polyethylen Chlorid sodný 0,9% 7 UI/ml 4°C Chráněno před světlem
24 Hodina
1067
Úroveň zkoušky C

Polyethylen GlukÛza 5% 7 UI/ml 22°C Chráněno před světlem
24 Hodina
1067
Úroveň zkoušky C

Polyethylen GlukÛza 5% 7 UI/ml 4°C Chráněno před světlem
24 Hodina
1067
Úroveň zkoušky C

stříkačka polypropylen Chlorid sodný 0,9% 1 UI/ml 20°C Nespecifikováno
365 Den
1234
Biologická metoda

stříkačka polypropylen Chlorid sodný 0,9% 1 UI/ml 37°C Nespecifikováno
365 Den
1234
Biologická metoda

stříkačka polypropylen Chlorid sodný 0,9% 100 UI/ml 4°C Chráněno před světlem
14 Den
895
Biologická metoda

stříkačka polypropylen Chlorid sodný 0,9% 500 UI/ml 25°C Chráněno před světlem
21 Den
1183
Biologická metoda

stříkačka polypropylen Chlorid sodný 0,9% 500 UI/ml 4°C Chráněno před světlem
21 Den
1183
Biologická metoda

stříkačka polypropylen Žádné 1000 & 40000 UI/ml 30°C Nespecifikováno
30 Den
874
Úroveň zkoušky B

Nespecifikováno Chlorid sodný 0,9% 5 UI/ml 4°C Chráněno před světlem
28 Den
791
Biologická metoda


  Mentions Légales