Posledná aktualizácia :
18/03/2026
antikoagulans   Heparin sodium  
Injekcia
Stabilita roztokov Stabilita v zmesiach Faktory ovplyvňujúce stabilitu Kompatibility spôsob podania Odkazy na literatúru PDF
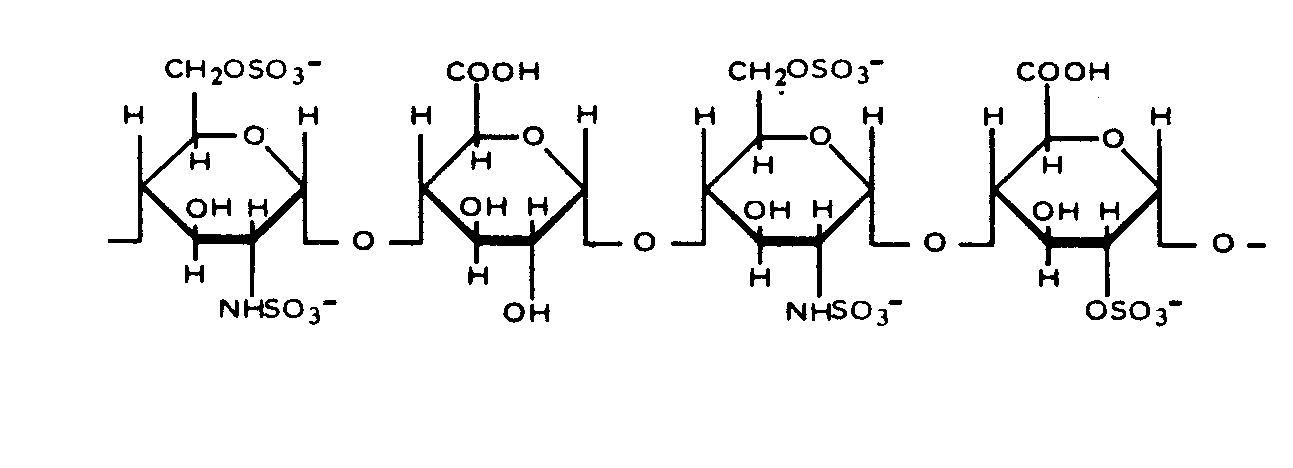
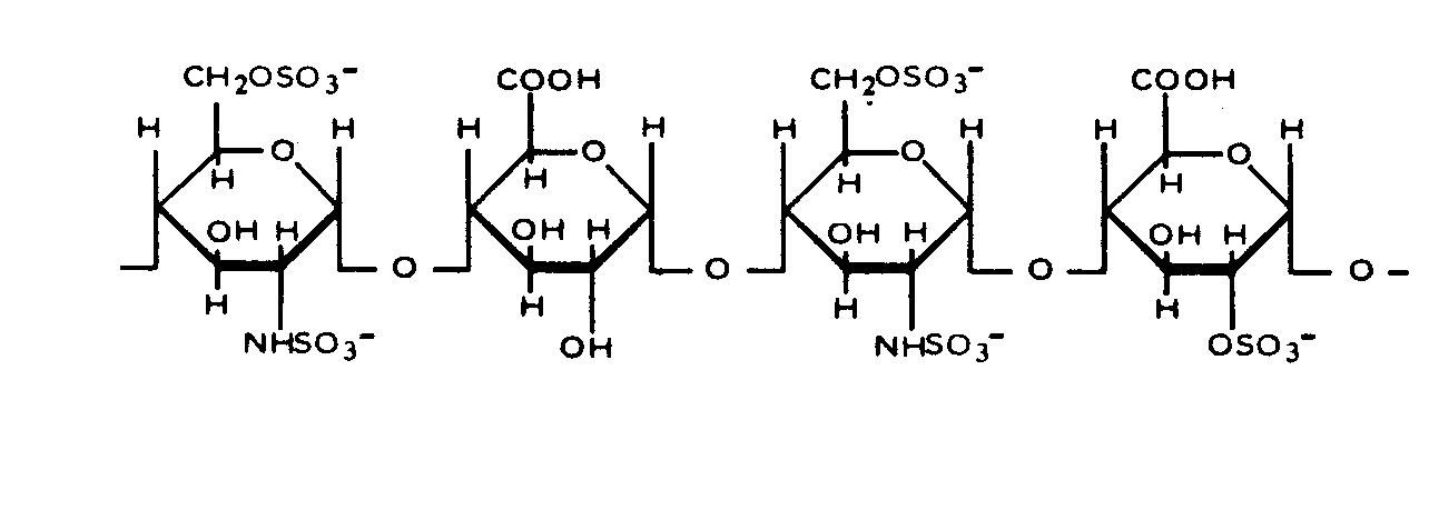
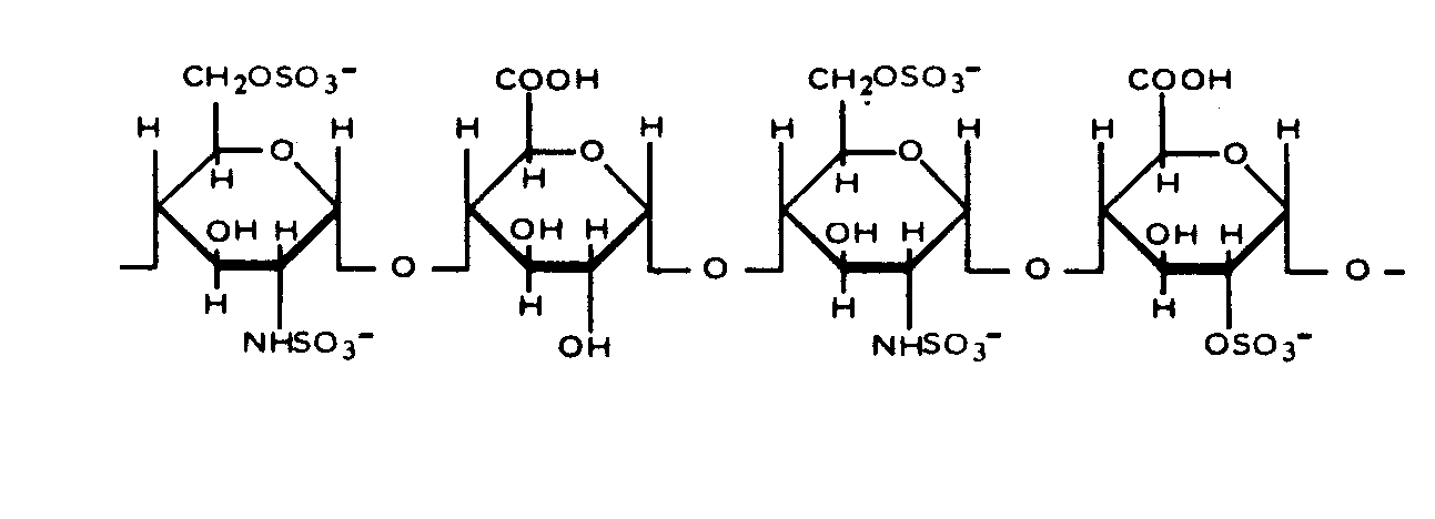
   Chemický vzorec  

Obchodný názov   Obchodný názov     

Obchodné názvy sú orientačné, a zloženie pomocných látok sa môže líšiť v závislosti od krajiny a výrobcu.

Arapin Čile
Ateroclar Taliansko
Clarisco Taliansko
Epsoclar Taliansko
Hepaflex Fínsko, Nórsko
Hepamax Čile, Ekvádor, Kolumbia
Heparin Dánsko, Fínsko, Grécko, Holandsko, Juhoafrická republika, Juhoslávia, Kanada, Maďarsko, Nórsko, Rakúsko, ruský, Spojené štáty Americké, Švajčiarsko, Švédsko, Thajsko, Turecko, Veľká Británia
Heparine Belgicko, Francúzsko
Heparinised Austrália
Heparstad Nemecko
Liquemin Švajčiarsko, Turecko
Liquemine Brazília
Monoparin Saudská Arábia
Normoparin Taliansko
Nuparin Ekvádor
Pharepa Taliansko
Riveparin Argentína
Sobrius Argentína, Ekvádor
Thrombophob Nemecko
Stabilita roztokov   Injekcia   Stabilita roztokov : Heparin sodium     
obal rozpúšťadlo koncentrácia teplota uchovávanie Trvanie stability odkazy na lieteratúru
Sklo 0,9% chlorid sodný 1 UI/ml 25°C Za svetla
365 dní
4166
biologická analýza

polyvinylchlorid (PVC) 0,9% chlorid sodný 1 UI/ml 20°C-25°C nešpecifikované
365 dní
1291
biologická analýza

polyvinylchlorid (PVC) 5% glukóza 1 UI/ml 20°C-25°C nešpecifikované
365 dní
1291
biologická analýza

polyvinylchlorid (PVC) 5% glukóza 10 UI/ml 20°C-25°C nešpecifikované
365 dní
1291
biologická analýza

polyetylén 0,9% chlorid sodný 7 UI/ml 22°C Chránené pred svetlom
24 hodín
1067
Úroveň dôkazov C

polyetylén 0,9% chlorid sodný 7 UI/ml 4°C Chránené pred svetlom
24 hodín
1067
Úroveň dôkazov C

polyetylén 5% glukóza 7 UI/ml 22°C Chránené pred svetlom
24 hodín
1067
Úroveň dôkazov C

polyetylén 5% glukóza 7 UI/ml 4°C Chránené pred svetlom
24 hodín
1067
Úroveň dôkazov C

Injekčná striekačka polypropylén 0,9% chlorid sodný 1 UI/ml 20°C nešpecifikované
365 dní
1234
biologická analýza

Injekčná striekačka polypropylén 0,9% chlorid sodný 1 UI/ml 37°C nešpecifikované
365 dní
1234
biologická analýza

Injekčná striekačka polypropylén 0,9% chlorid sodný 100 UI/ml 4°C Chránené pred svetlom
14 dní
895
biologická analýza

Injekčná striekačka polypropylén 0,9% chlorid sodný 500 UI/ml 25°C Chránené pred svetlom
21 dní
1183
biologická analýza

Injekčná striekačka polypropylén 0,9% chlorid sodný 500 UI/ml 4°C Chránené pred svetlom
21 dní
1183
biologická analýza

Injekčná striekačka polypropylén Žiadny 1000 & 40000 UI/ml 30°C nešpecifikované
30 dní
874
Úroveň dôkazov B

nešpecifikované 0,9% chlorid sodný 5 UI/ml 4°C Chránené pred svetlom
28 dní
791
biologická analýza


  Mentions Légales