zadnja posodobitev :
18/03/2026
Antikoagulant   Heparin sodium  
Brizgalka
Stabilnost raztopine Stabilnost mešanice Faktorji, ki vplivajo na stabilnost Kompatibilnost način aplikacije Viri pdf
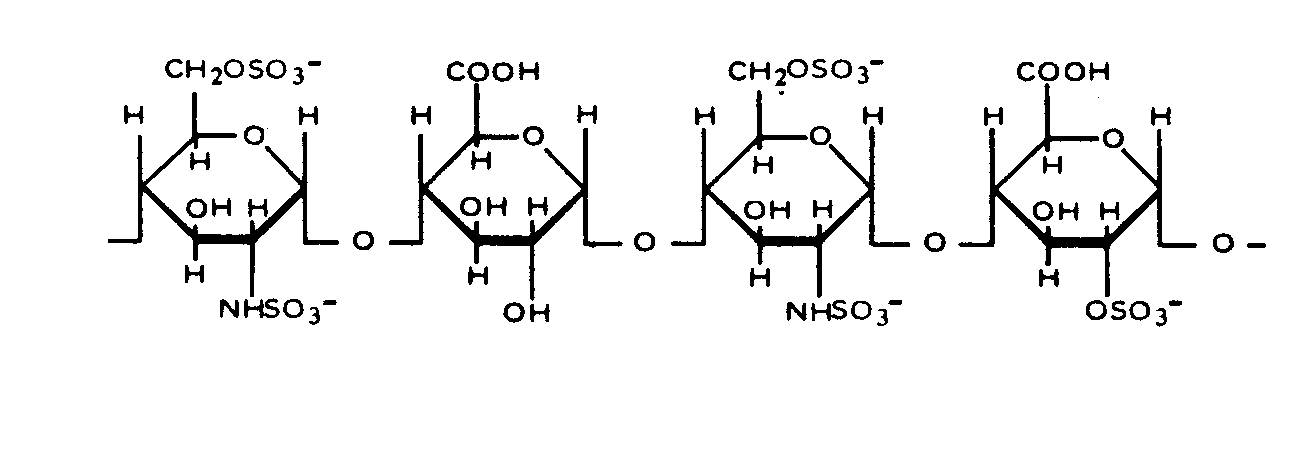
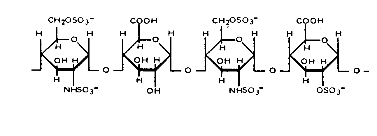
   Kemična formula  

Lastniško ime   Lastniško ime     

Sestava pomožnih snovi je med paralelami lahko različna

Arapin Čile
Ateroclar Italija
Clarisco Italija
Epsoclar Italija
Hepaflex Finska, Norveška
Hepamax Čile, Ekvador, Kolumbija
Heparin Avstrija, Danska, Finska, Grčija, Jugoslavija, Južnoafriška republika, Kanada, Madžarska, Nizozemska, Norveška, ruščina, Švedska, Švica, Tajska, Turčija, Velika Britanija, Združene države Amerike
Heparine Belgija, Francija
Heparinised Avstralija
Heparstad Nemčija
Liquemin Švica, Turčija
Liquemine Brazilija
Monoparin Savdska Arabija
Normoparin Italija
Nuparin Ekvador
Pharepa Italija
Riveparin Argentina
Sobrius Argentina, Ekvador
Thrombophob Nemčija
Stabilnost raztopine   Brizgalka   Stabilnost raztopine : Heparin sodium     
Vsebnik Topilo Koncentracija Temperatura Shranjevanje Trajanje stabilnosti Viri
Steklo Natrijev klorid 0,9% 1 UI/ml 25°C Svetloba
365 Dan
4166
biološka analiza

Polivinil klorid Natrijev klorid 0,9% 1 UI/ml 20°C-25°C Nedoločeno
365 Dan
1291
biološka analiza

Polivinil klorid Glukoza 5% 1 UI/ml 20°C-25°C Nedoločeno
365 Dan
1291
biološka analiza

Polivinil klorid Glukoza 5% 10 UI/ml 20°C-25°C Nedoločeno
365 Dan
1291
biološka analiza

Polietilen Natrijev klorid 0,9% 7 UI/ml 22°C Zaščiteno pred svetlobo
24 čas
1067
 Stopnja dokaza C

Polietilen Natrijev klorid 0,9% 7 UI/ml 4°C Zaščiteno pred svetlobo
24 čas
1067
 Stopnja dokaza C

Polietilen Glukoza 5% 7 UI/ml 22°C Zaščiteno pred svetlobo
24 čas
1067
 Stopnja dokaza C

Polietilen Glukoza 5% 7 UI/ml 4°C Zaščiteno pred svetlobo
24 čas
1067
 Stopnja dokaza C

Brizgalka polipropilen Natrijev klorid 0,9% 1 UI/ml 20°C Nedoločeno
365 Dan
1234
biološka analiza

Brizgalka polipropilen Natrijev klorid 0,9% 1 UI/ml 37°C Nedoločeno
365 Dan
1234
biološka analiza

Brizgalka polipropilen Natrijev klorid 0,9% 100 UI/ml 4°C Zaščiteno pred svetlobo
14 Dan
895
biološka analiza

Brizgalka polipropilen Natrijev klorid 0,9% 500 UI/ml 25°C Zaščiteno pred svetlobo
21 Dan
1183
biološka analiza

Brizgalka polipropilen Natrijev klorid 0,9% 500 UI/ml 4°C Zaščiteno pred svetlobo
21 Dan
1183
biološka analiza

Brizgalka polipropilen Nobeden 1000 & 40000 UI/ml 30°C Nedoločeno
30 Dan
874
 Stopnja dokaza B

Nedoločeno Natrijev klorid 0,9% 5 UI/ml 4°C Zaščiteno pred svetlobo
28 Dan
791
biološka analiza


  Mentions Légales