Última actualização :
18/03/2026
Anticoagulante   Heparin sodium  
injetável
Estabilidade em soluções simples Estabilidade em misturas Factores que afectam a sua estabilidade Compatibilidade Método de administração Bibliografía pdf
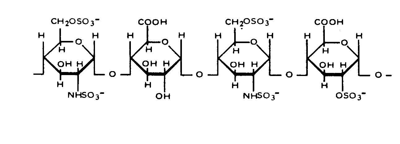
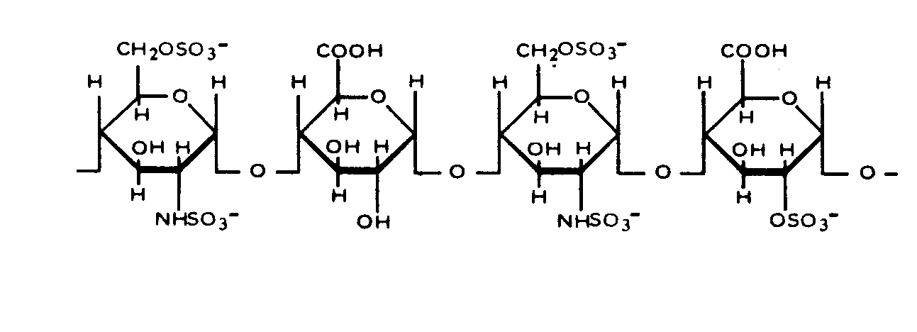
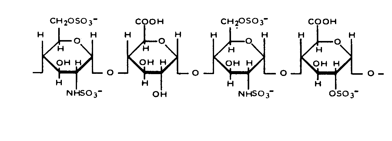
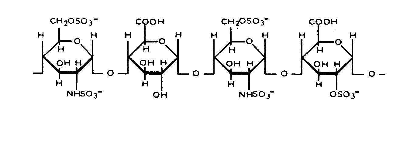
   estrutura química  

Nomes comerciais nos diversos países   Nomes comerciais nos diversos países     

OS NOMES COMERCIAIS SÃO INDICATIVOS E OS EXCIPIENTES DA FORMULAÇÃO PODEM SER DIFERENTES CONFORME O PAÍS E FABRICANTE.

Arapin Chilli
Ateroclar Itália
Clarisco Itália
Epsoclar Itália
Hepaflex Finlandia, Noruega
Hepamax Chilli, Colômbia, Equator
Heparin Africa do sul, Austria, Canadá, Dinamarca, Estados Unidos de América, Finlandia, Gran-bretanha, Grècia, Hungria, Jugoslavia, Noruega, Países Baixos, russo, Suècia, Suicia, Tailandia, Turquia
Heparine Bélgica, França
Heparinised Australia
Heparstad Alemanha
Liquemin Suicia, Turquia
Liquemine Brasil
Monoparin Arábia Saudita
Normoparin Itália
Nuparin Equator
Pharepa Itália
Riveparin Argentina
Sobrius Argentina, Equator
Thrombophob Alemanha
Estabilidade em soluções simples   injetável   Estabilidade em soluções simples : Heparin sodium     
Embalagem Solvente concentração temperatura conservação Duração da estabilidade Bibliografia
vidro cloreto de sódio 0,9% 1 UI/ml 25°C luz
365 dia
4166
análise biológica

Cloreto de polivinilo cloreto de sódio 0,9% 1 UI/ml 20°C-25°C no especificado
365 dia
1291
análise biológica

Cloreto de polivinilo Glucose 5% 1 UI/ml 20°C-25°C no especificado
365 dia
1291
análise biológica

Cloreto de polivinilo Glucose 5% 10 UI/ml 20°C-25°C no especificado
365 dia
1291
análise biológica

Polietileno cloreto de sódio 0,9% 7 UI/ml 22°C ao abrigo da luz
24 hora
1067
Nível de evidência C

Polietileno cloreto de sódio 0,9% 7 UI/ml 4°C ao abrigo da luz
24 hora
1067
Nível de evidência C

Polietileno Glucose 5% 7 UI/ml 22°C ao abrigo da luz
24 hora
1067
Nível de evidência C

Polietileno Glucose 5% 7 UI/ml 4°C ao abrigo da luz
24 hora
1067
Nível de evidência C

seringa polipropylen cloreto de sódio 0,9% 1 UI/ml 20°C no especificado
365 dia
1234
análise biológica

seringa polipropylen cloreto de sódio 0,9% 1 UI/ml 37°C no especificado
365 dia
1234
análise biológica

seringa polipropylen cloreto de sódio 0,9% 100 UI/ml 4°C ao abrigo da luz
14 dia
895
análise biológica

seringa polipropylen cloreto de sódio 0,9% 500 UI/ml 25°C ao abrigo da luz
21 dia
1183
análise biológica

seringa polipropylen cloreto de sódio 0,9% 500 UI/ml 4°C ao abrigo da luz
21 dia
1183
análise biológica

seringa polipropylen nenhum 1000 & 40000 UI/ml 30°C no especificado
30 dia
874
Nível de evidência B

no especificado cloreto de sódio 0,9% 5 UI/ml 4°C ao abrigo da luz
28 dia
791
análise biológica


  Mentions Légales