Pēdējā atjaunošana :
18/03/2026
Antikoagulants   Heparin sodium  
Injekcija
Šķīduma stabilitāte Maisījuma stabilitāte Stabilitāti ietekmējoši faktori Saderība Levadīšanas veids Literatūras saraksts pdf
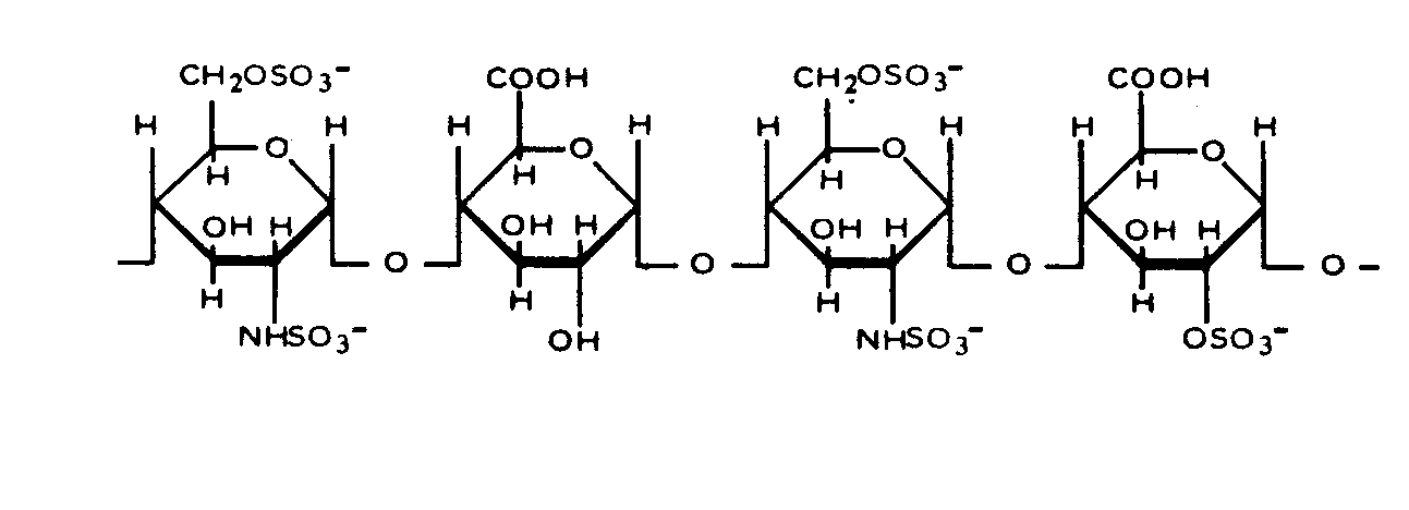
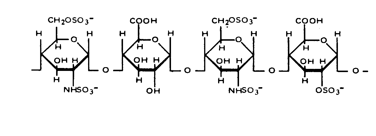
   Ķīmiskā uzbūve   

Oriģinālais nosaukums   Oriģinālais nosaukums     

Tirdzniecības nosaukumi ir apzīmējoši un palīgvielas var atšķirties dažādām valstīm un laboratorijām

Arapin Čīle
Ateroclar Itālija
Clarisco Itālija
Epsoclar Itālija
Hepaflex Norvēģija, Somija
Hepamax Čīle, Ekvadora, Kolumbija
Heparin Amerikas Savienotās Valstis, Austrija, Dānija, Dienvidāfrikas Republika, Dienvidslāvija, Grieķija, Holande, Kanāda, krievu, Lielbritānija, Norvēģija, Somija, Šveice, Taizeme, Turcija, Ungārija, Zviedrija
Heparine Beļģija, Francija
Heparinised Austrālija
Heparstad Vācija
Liquemin Šveice, Turcija
Liquemine Brazīlija
Monoparin Saūda Arābija
Normoparin Itālija
Nuparin Ekvadora
Pharepa Itālija
Riveparin Argentīna
Sobrius Argentīna, Ekvadora
Thrombophob Vācija
Šķīduma stabilitāte   Injekcija   Šķīduma stabilitāte : Heparin sodium     
Iepakojums Šķīdinātājs Koncentrācija Temperatūra Glabāšana Stabilitātes ilgums Literatūras saraksts
Stikls Nātrija hlorīds 0.9% 1 UI/ml 25°C Gaisma
365 Diena
4166
Bioloģiskā metode

Polivinilhlorīds Nātrija hlorīds 0.9% 1 UI/ml 20°C-25°C Nav specifisks
365 Diena
1291
Bioloģiskā metode

Polivinilhlorīds 5% glikoze 1 UI/ml 20°C-25°C Nav specifisks
365 Diena
1291
Bioloģiskā metode

Polivinilhlorīds 5% glikoze 10 UI/ml 20°C-25°C Nav specifisks
365 Diena
1291
Bioloģiskā metode

Polietilēns Nātrija hlorīds 0.9% 7 UI/ml 22°C Aizsargāt no gaismas
24 Stunda
1067
Pierādījumu līmenis C

Polietilēns Nātrija hlorīds 0.9% 7 UI/ml 4°C Aizsargāt no gaismas
24 Stunda
1067
Pierādījumu līmenis C

Polietilēns 5% glikoze 7 UI/ml 22°C Aizsargāt no gaismas
24 Stunda
1067
Pierādījumu līmenis C

Polietilēns 5% glikoze 7 UI/ml 4°C Aizsargāt no gaismas
24 Stunda
1067
Pierādījumu līmenis C

Šļirce polipropilēna Nātrija hlorīds 0.9% 1 UI/ml 20°C Nav specifisks
365 Diena
1234
Bioloģiskā metode

Šļirce polipropilēna Nātrija hlorīds 0.9% 1 UI/ml 37°C Nav specifisks
365 Diena
1234
Bioloģiskā metode

Šļirce polipropilēna Nātrija hlorīds 0.9% 100 UI/ml 4°C Aizsargāt no gaismas
14 Diena
895
Bioloģiskā metode

Šļirce polipropilēna Nātrija hlorīds 0.9% 500 UI/ml 25°C Aizsargāt no gaismas
21 Diena
1183
Bioloģiskā metode

Šļirce polipropilēna Nātrija hlorīds 0.9% 500 UI/ml 4°C Aizsargāt no gaismas
21 Diena
1183
Bioloģiskā metode

Šļirce polipropilēna Nekāds 1000 & 40000 UI/ml 30°C Nav specifisks
30 Diena
874
Pierādījumu līmenis B

Nespecifisks Nātrija hlorīds 0.9% 5 UI/ml 4°C Aizsargāt no gaismas
28 Diena
791
Bioloģiskā metode


  Mentions Légales