Poslední aktualizace :
18/03/2026
Antikoaguliantas   Heparin sodium  
Įpurškimas
Tirpalų stabilumas Mišinių stabilumas Stabilumą lemiantys veiksniai Suderinamumas Leidimo būdai Bibliografija pdf
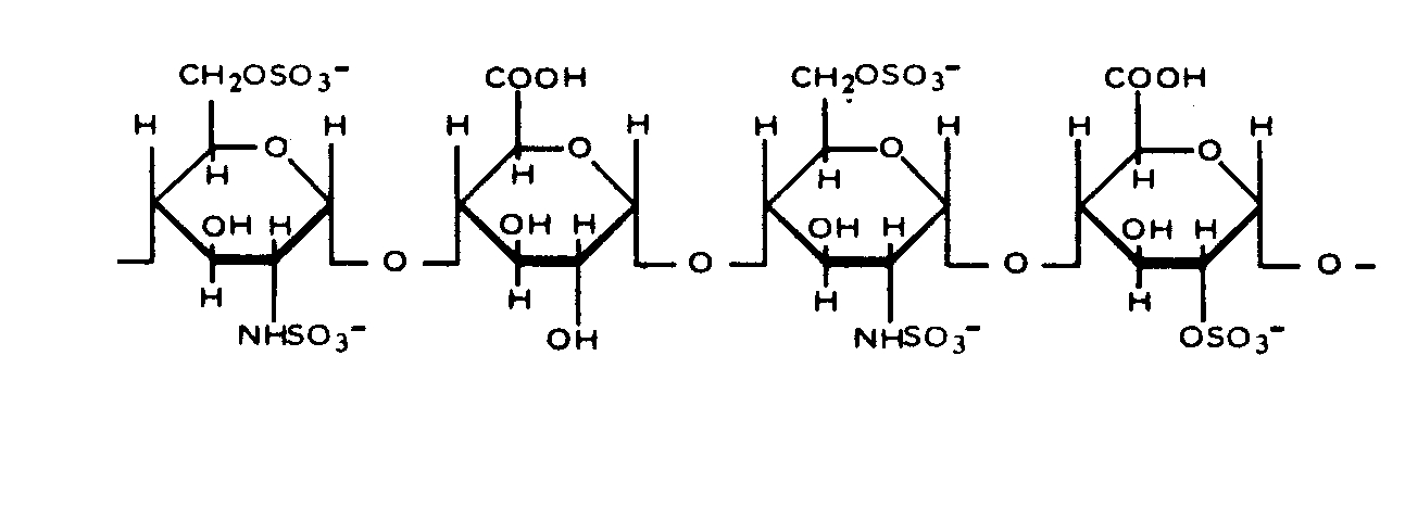
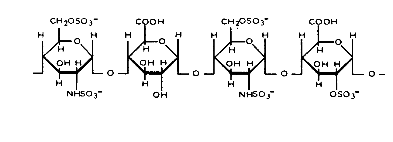
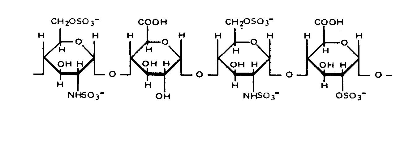
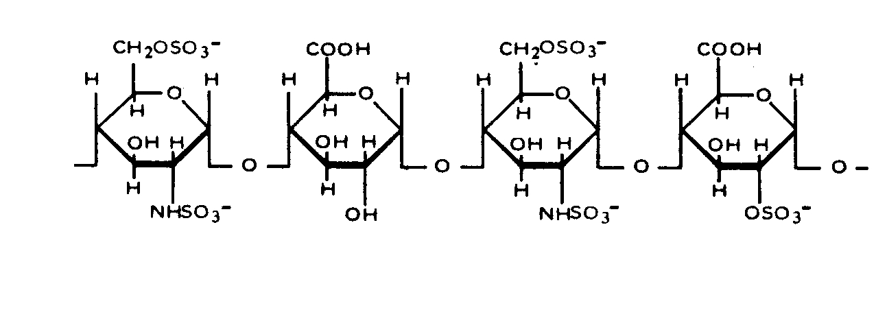
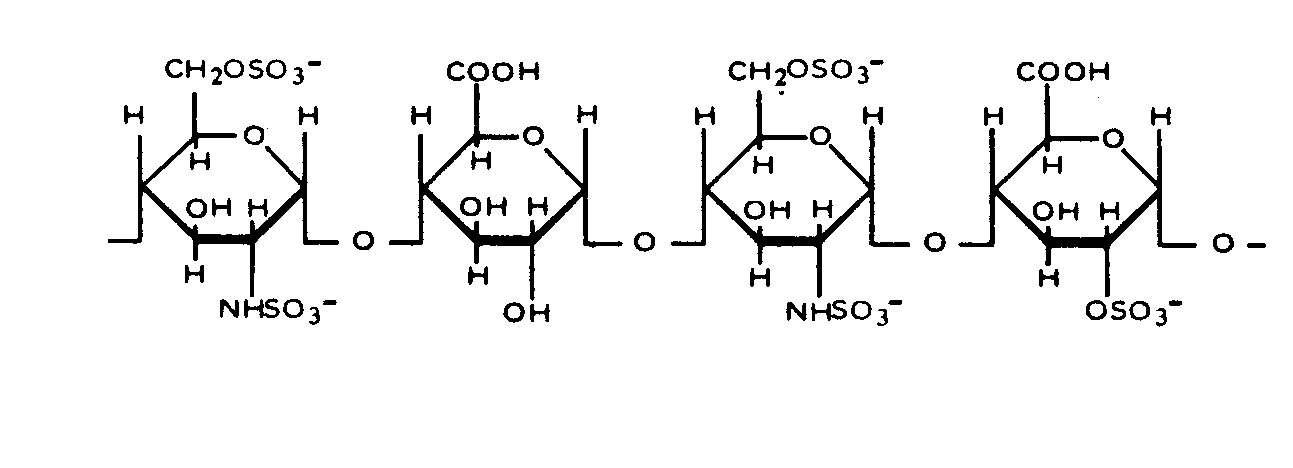
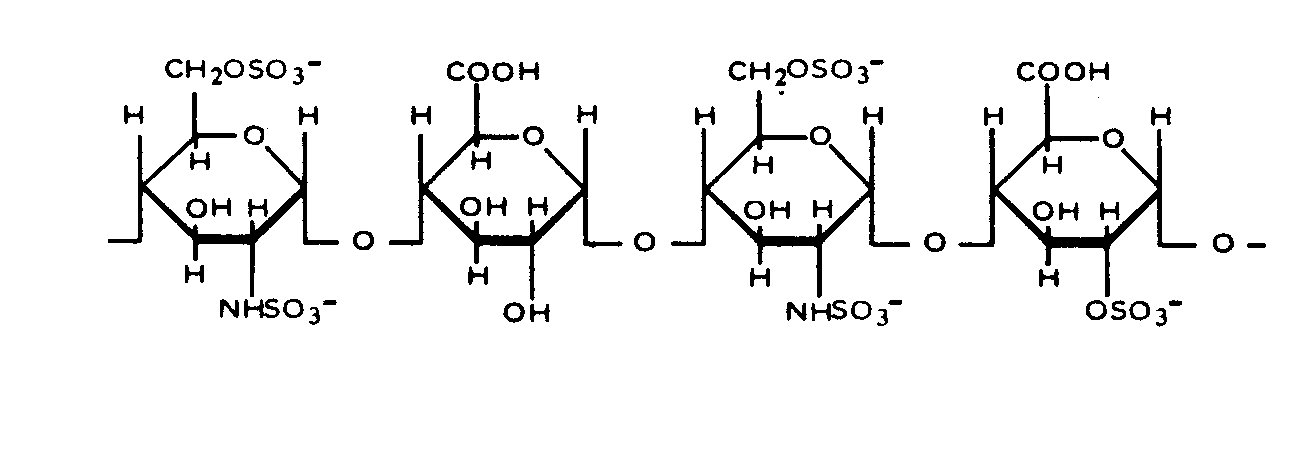
   Cheminė sandara  

Prekinis pavadinimas   Prekinis pavadinimas     

Trade names are indicative and excipients composition can be different depending on the country and manufacturers

Arapin Čilė
Ateroclar Italija
Clarisco Italija
Epsoclar Italija
Hepaflex Norvegija, Suomija
Hepamax Čilė, Ekvadoras, Kolumbija
Heparin Austrija, Danija, Didžioji Britanija, Graikija, Jugoslavija, Jungtinės Amerikos Valstijos, Kanada, Norvegija, Olandija, Pietų Afrikos Respublika, rusų, Suomija, Švedija, Šveicarija, Tailandas, Turkija, Vengrija
Heparine Belgija, Prancūzija
Heparinised Australija
Heparstad Vokietija
Liquemin Šveicarija, Turkija
Liquemine Brazilija
Monoparin Saudo Arabija
Normoparin Italija
Nuparin Ekvadoras
Pharepa Italija
Riveparin Argentina
Sobrius Argentina, Ekvadoras
Thrombophob Vokietija
Tirpalų stabilumas   Įpurškimas   Tirpalų stabilumas : Heparin sodium     
Pakuotė Tirpiklis Koncentracija Temperatūra Laikymas Stabilumo trukmė Nuorodos
Stiklas Natrio chloridas 0,9% 1 UI/ml 25°C Šviesa
365 Diena
4166
Biologinis metodas

Polivinilchloridas Natrio chloridas 0,9% 1 UI/ml 20°C-25°C Nenurodyta
365 Diena
1291
Biologinis metodas

Polivinilchloridas Gliukozė 5% 1 UI/ml 20°C-25°C Nenurodyta
365 Diena
1291
Biologinis metodas

Polivinilchloridas Gliukozė 5% 10 UI/ml 20°C-25°C Nenurodyta
365 Diena
1291
Biologinis metodas

Polietilenas Natrio chloridas 0,9% 7 UI/ml 22°C Apsaugotas nuo šviesos
24 Valanda
1067
Bandymo lygis C

Polietilenas Natrio chloridas 0,9% 7 UI/ml 4°C Apsaugotas nuo šviesos
24 Valanda
1067
Bandymo lygis C

Polietilenas Gliukozė 5% 7 UI/ml 22°C Apsaugotas nuo šviesos
24 Valanda
1067
Bandymo lygis C

Polietilenas Gliukozė 5% 7 UI/ml 4°C Apsaugotas nuo šviesos
24 Valanda
1067
Bandymo lygis C

Švirkštas polipropileno Natrio chloridas 0,9% 1 UI/ml 20°C Nenurodyta
365 Diena
1234
Biologinis metodas

Švirkštas polipropileno Natrio chloridas 0,9% 1 UI/ml 37°C Nenurodyta
365 Diena
1234
Biologinis metodas

Švirkštas polipropileno Natrio chloridas 0,9% 100 UI/ml 4°C Apsaugotas nuo šviesos
14 Diena
895
Biologinis metodas

Švirkštas polipropileno Natrio chloridas 0,9% 500 UI/ml 25°C Apsaugotas nuo šviesos
21 Diena
1183
Biologinis metodas

Švirkštas polipropileno Natrio chloridas 0,9% 500 UI/ml 4°C Apsaugotas nuo šviesos
21 Diena
1183
Biologinis metodas

Švirkštas polipropileno Nėra 1000 & 40000 UI/ml 30°C Nenurodyta
30 Diena
874
Bandymo lygis B

Nenurodyta Natrio chloridas 0,9% 5 UI/ml 4°C Apsaugotas nuo šviesos
28 Diena
791
Biologinis metodas


  Mentions Légales