Senaste uppdateringen :
18/03/2026
Vasodilaterare   Isosorbide dinitrate  
injektion
Lösningars stabilitet Stabilitet i blandningar Faktorer som påverkar stabiliteten Kompatibilitet Administreringssätt Hänvisningar pdf
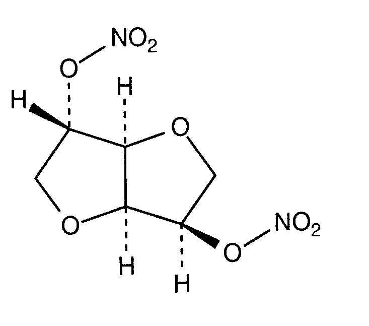
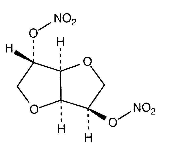
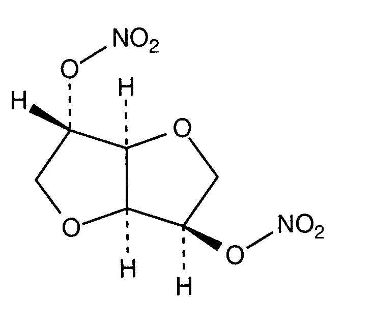
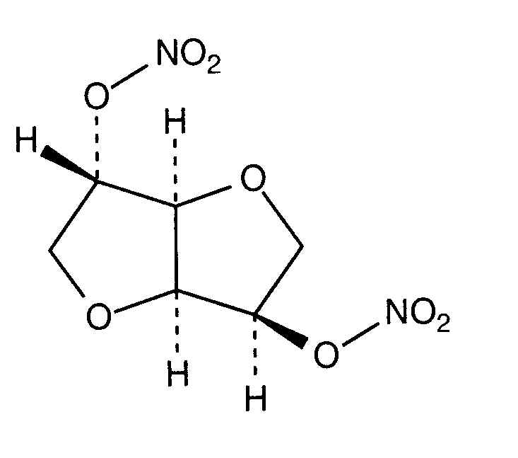
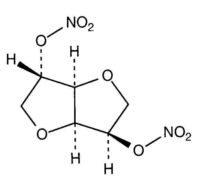
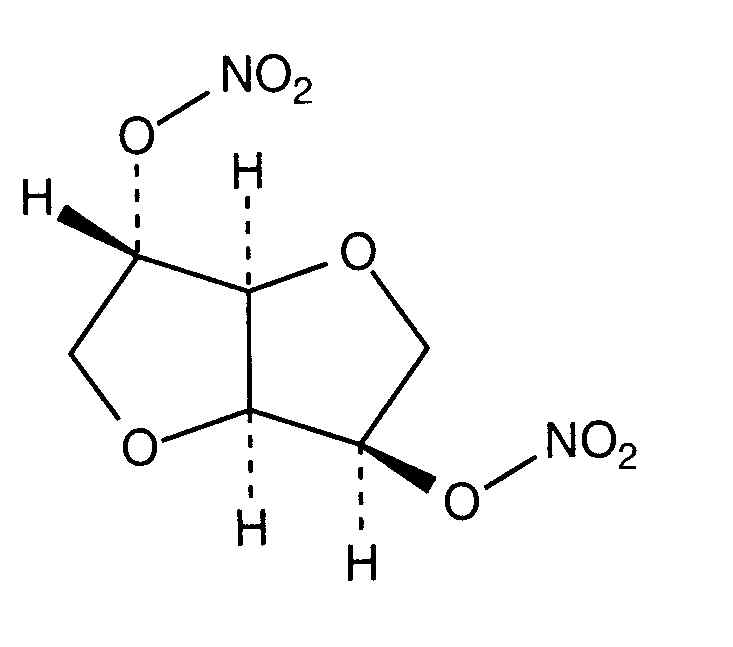
   Molekylstruktur  

Varunamn   Varunamn     

Angivna handelsnamn på läkemedel är enbart vägledande då formulering inklusive hjälpämnen kan variera mellan länder och tillverkare

Angsobide Malaysia
Cedocard Nederländerna
Diniket Italien
Dinit Storbritannien
Ekilbran Mexiko
Isoket Egypten, Förenade Arabemiraten, Irland, Luxemburg, Malaysia, Mexiko, Österrike, Peru, Polen, Portugal, Saudi-Arabien, Schweiz, Storbritannien, Venezuela
Isonit Ecuador, Peru
Nitrosid Finland
Nitrosorbide Italien
Risordan Frankrike
Zanisor Mexiko
Kompatibilitet   injektion   Kompatibilitet : Isosorbide dinitrate              
Den här skärmen visar kompatibiliteten eller inkompatibiliteten med, i detta fall, typen av inkompatibilitet (utfällning, färgförändring, modifiering av en emulsion, etc.). De kompatibiliteter som visas här är oftast endast fysiska, varvid den kemiska stabiliteten för varje molekyl sällan utvärderas. Utvärderingen av dessa blandningar studerades för att överväga möjligheten för Y-platsadministrering till patienten. Dessa data kan inte användas för att göra blandningar i förväg i påsar eller sprutor. Denna typ av information finns på skärmen "Stabilitet i blandning".
Substans Lösningsmedel Hänvisningar

  Mentions Légales