fermer
آخر تحديث :
17/12/2025
Infostab
قائمة المركبات
ملخص القوائم
ابحث عن التوافق
جدول توافق موقع ص
مراجع
فرق البحث
valistab
الملصق
الروابط
الرعاة
الكتاب
دليل المستخدم
النشرة الإخبارية
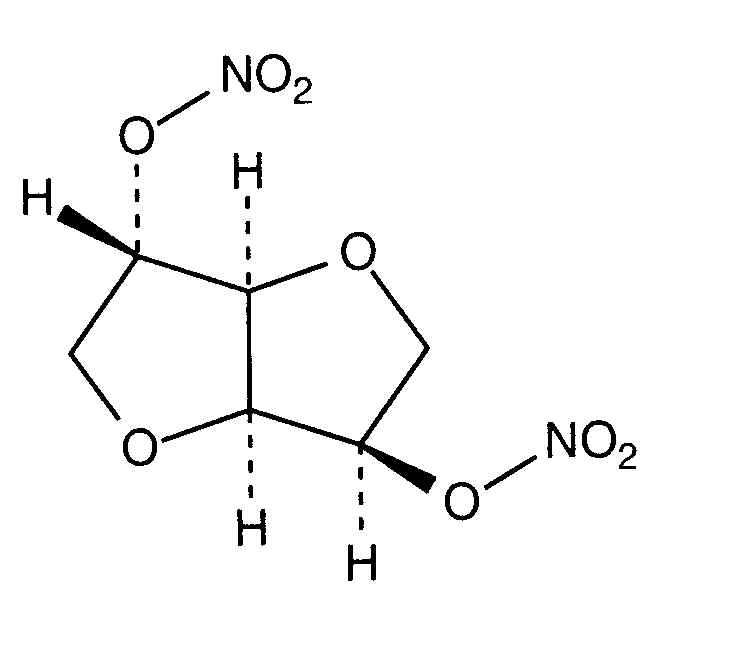
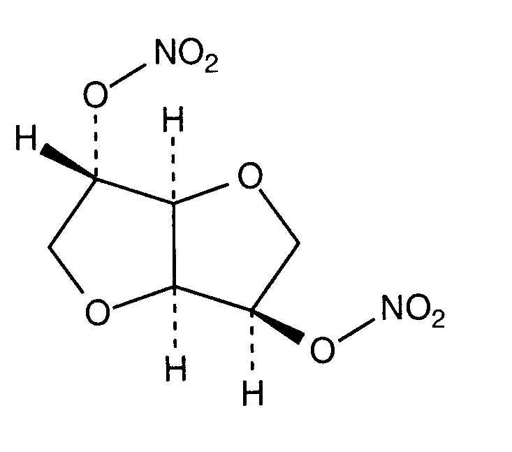
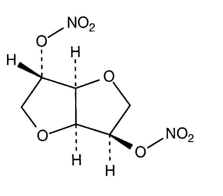
Isosorbide dinitrate
التركيب الكيميائي
حجز الاسم التجاري
تحذير الأسماء التجاريه المختلفه قد تحتوي علي محتوي إضافات مختلفة حسب الدوله و المعمل
Angsobide
ماليزيا
Cedocard
هولندا
Diniket
إيطاليا
Dinit
بريطانيا العظمي
Ekilbran
المكسيك
Isoket
الإمارات العربية المتحدة, البرتغال, العربية السعودية, المكسيك, النمسا, ايرلندا, بريطانيا العظمي, بولندا, بيرو, سويسرا, فنزويلا, لوكسمبورغ, ماليزيا, مصر
Isonit
الإكوادور, بيرو
Nitrosid
فنلندا
Nitrosorbide
إيطاليا
Risordan
فرنسا
Zanisor
المكسيك
التوافق : Isosorbide dinitrate
This screen indicates the compatibilities or incompatibilities with, in this case, the type of incompatibility (precipitation, color change, modification of an emulsion, etc.). The compatibilities shown here are mostly physical only, with the chemical stability of each molecule rarely being assessed. The evaluation of these mixtures was studied to consider the possibility of Y-site administration to the patient. These data cannot be used for making mixtures in advance in bags or syringes. This type of information is available in the screen "Stability in mixture ».
Isosorbide dinitrate
0.2 mg/ml
Cefepime dihydrochloride
125 mg/ml
2141
Isosorbide dinitrate
0.2 mg/ml
Ceftazidime
125 mg/ml
2141
Isosorbide dinitrate
1 mg/ml
Furosemide
1 mg/ml
1232
Isosorbide dinitrate
1 mg/ml
Insulin
1 UI/ml
4698
Isosorbide dinitrate
1 mg/ml
Nefopam
0,16 mg/ml
4698
Isosorbide dinitrate
0.2 mg/ml
Temocilline
83.33 mg/ml
2231
Isosorbide dinitrate
1067
Isosorbide dinitrate
0.2 mg/ml
Vancomycin hydrochloride
10 mg/ml
3385
Isosorbide dinitrate
1067
Mentions Légales