Posledná aktualizácia :
27/11/2025
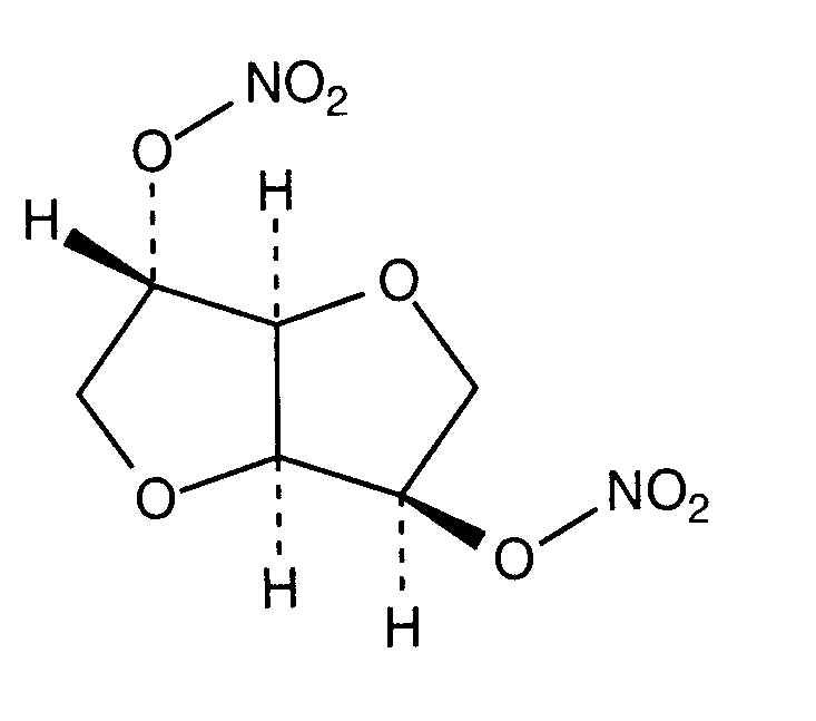
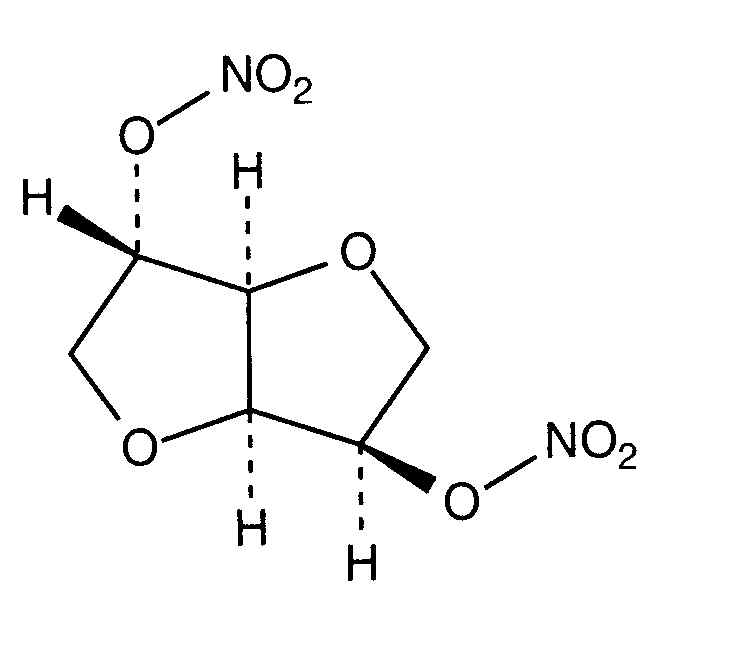
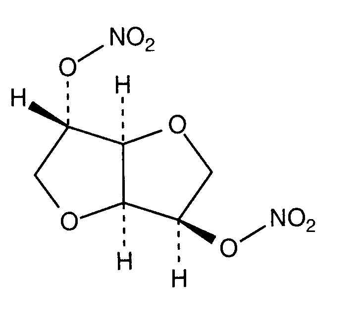
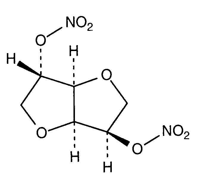
vazodilatans   Isosorbide dinitrate  
Injekcia
Stabilita roztokov Stabilita v zmesiach Faktory ovplyvňujúce stabilitu Kompatibility spôsob podania Odkazy na literatúru PDF
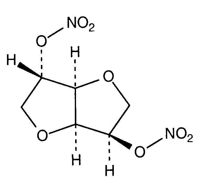
   Chemický vzorec  

Obchodný názov   Obchodný názov     

Obchodné názvy sú orientačné, a zloženie pomocných látok sa môže líšiť v závislosti od krajiny a výrobcu.

Angsobide Malajzia
Cedocard Holandsko
Diniket Taliansko
Dinit Veľká Británia
Ekilbran Mexiko
Isoket Egypt, Írsko, Luxembursko, Malajzia, Mexiko, peru, Poľsko, Portugalsko, Rakúsko, Saudská Arábia, Spojené arabské emiráty, Švajčiarsko, Veľká Británia, Venezuela
Isonit Ekvádor, peru
Nitrosid Fínsko
Nitrosorbide Taliansko
Risordan Francúzsko
Zanisor Mexiko
Kompatibility   Injekcia   Kompatibility : Isosorbide dinitrate              
Toto okno zobrazuje kompatibility alebo inkombatibility, v prípade inkompatibility aj jej typ (vyzrážanie, zmena farby, zmena emulzie atď.). Tu vymenované kompatibility sú väčšinou len fyzikálne, chemická stabilita každej zo zlúčenín sa hodnotila len zriedkavo. Tieto zmesi sa skúmali za účelom možnosti súbežného podávania pacientovi cez infúznu spojku Y. Údaje sa nedajú použiť na prípravu zmesí vo vakoch alebo striekačkách. Taká informácia sa nachádza v okne „Stabilita v zmesiach“.
Zlúčenina rozpúšťadlo odkazy na lieteratúru

  Mentions Légales