Laatste update :
18/03/2026
Vaatverwijder   Isosorbide dinitrate  
injecteerbaar geneesmiddel
Stabiliteit in oplossing Stabiliteit in mengsels Factoren die de stabiliteit beïnvloeden Verenigbaarheden Toedieningswijze Literatuur pdf
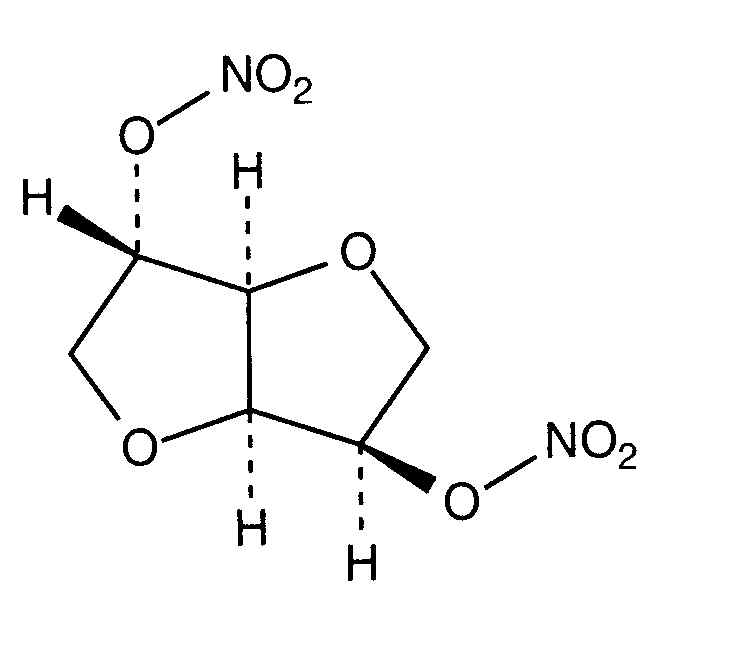
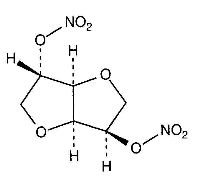
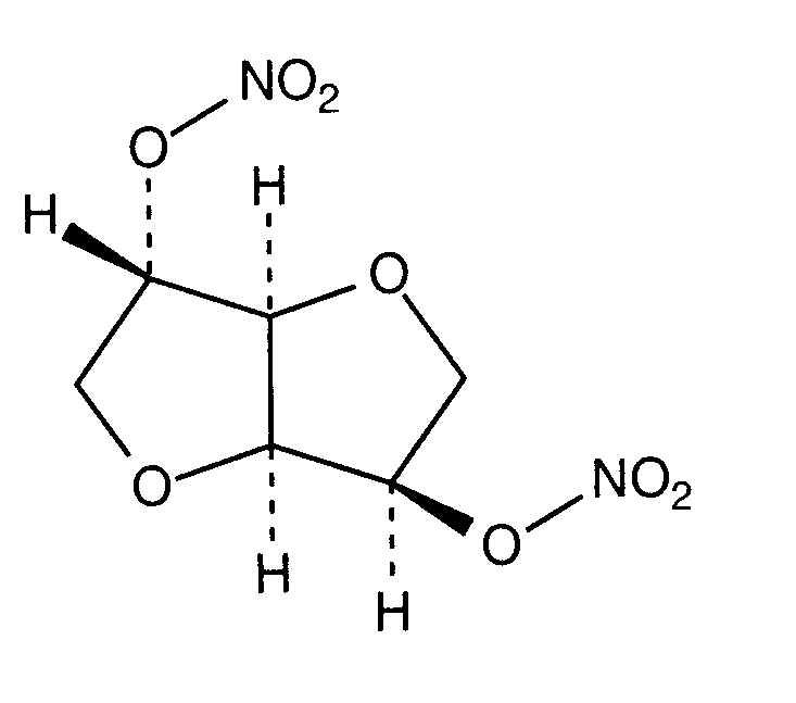
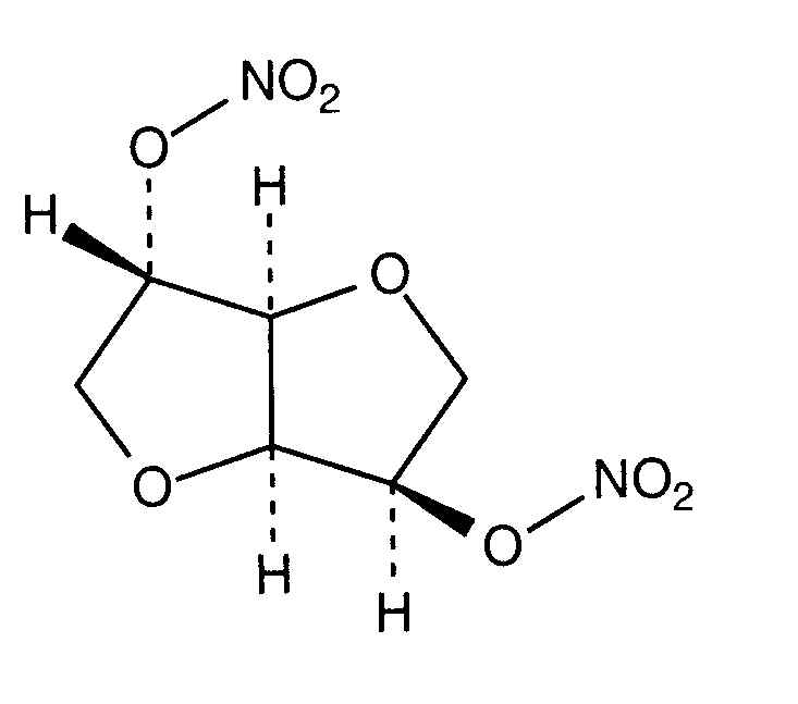
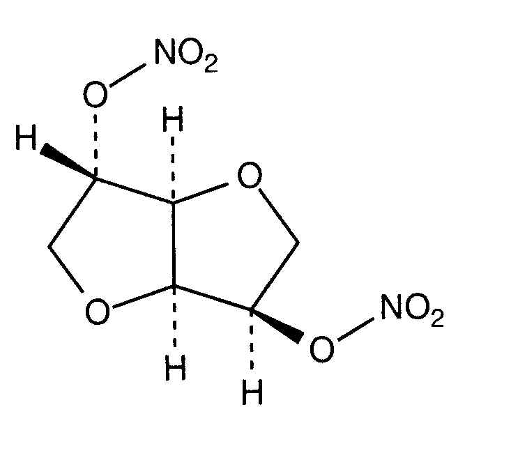
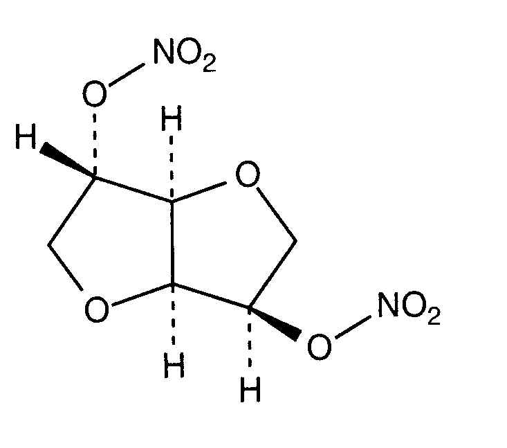
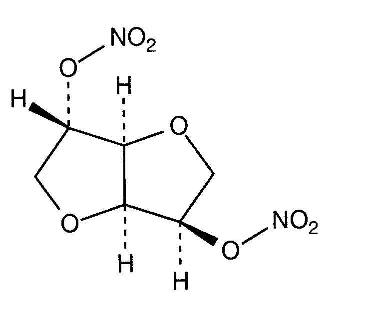
   Molecuulstructuur  

Merknamen in verschillende landen   Merknamen in verschillende landen     

Handelsnamen zijn slechts een indicatie; de samenstelling van hulpstoffen kan per land variëren afhankelijk van de fabrikant

Angsobide Maleisië
Cedocard Nederland
Diniket Italië
Dinit Groot Britannië
Ekilbran Mexico
Isoket Egypte, Groot Britannië, Ierland, Luxemburg, Maleisië, Mexico, Oostenrijk, Peru, Polen, Portugal, Saudi-Arabië, Venezuela, Verenigde Arabische Emiraten, Zwitserland
Isonit Ecuador, Peru
Nitrosid Finland
Nitrosorbide Italië
Risordan Frankrijk
Zanisor Mexico
Verenigbaarheden   injecteerbaar geneesmiddel   Verenigbaarheden : Isosorbide dinitrate              
In dit scherm worden de verenigbaarheden en onverenigbaarheden weergegeven. In het geval van een onverenigbaarheid wordt ook het type (neerslag, kleurverandering, modificatie van een emulsie, etc) weergegeven. De weergegeven verenigbaarheden zijn meestal alleen op uiterlijk beoordeeld, er heeft zelden een chemische beoordeling van iedere component plaatsgevonden. De verenigbaarheden betreffen gelijktijdige toediening aan de patient middels de Y-site. De data kan niet gebruikt worden in de beoordeling van verenigbaarheden van componenten in infuuszakken of spuiten. Die informatie is te vinden onder ‘stabiliteit in mengsels’.
Stof Oplosmiddel Literatuur

  Mentions Légales