Letztes “update” :
18/03/2026
Vasodilatator   Isosorbide dinitrate  
Injektion
Stabilität der Lösung Gemengestabilität Stabilitätbeeinflussende Faktoren Kompatibilitäten Applikationsart Literaturverzeichnis pdf
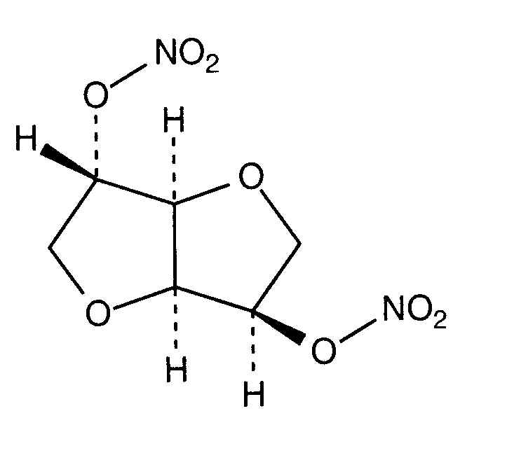
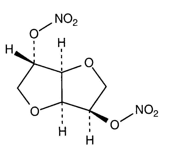
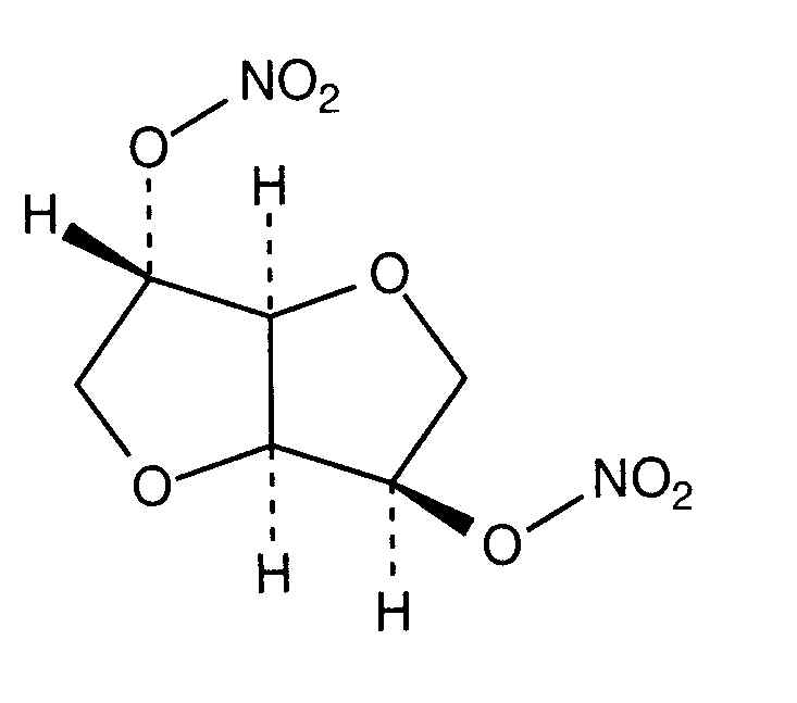
   Chemische Struktur  

Handelsmarke   Handelsmarke     

Handelsnamen sind als beispielhaft anzusehen. Sonstige Bestandteile können je nach Hersteller oder Land verschieden sein

Angsobide Malaysia
Cedocard Niederlande
Diniket Italien
Dinit Großbritannien
Ekilbran Mexiko
Isoket Ägypten, Großbritannien, Irland, Luxemburg, Malaysia, Mexiko, Österreich, Peru, Polen, Portugal, Saudi-Arabien, Schweiz, Venezuela, Vereinigte Arabische Emirate
Isonit Ecuador, Peru
Nitrosid Finnland
Nitrosorbide Italien
Risordan Frankreich
Zanisor Mexiko
Kompatibilitäten   Injektion   Kompatibilitäten : Isosorbide dinitrate              
Dieser Bildschirm zeigt die Kompatibilitäten oder Inkompatibilitäten mit der Art der Inkompatibilität (hier: Ausfällung, Farbänderung, Modifikation einer Emulsion usw.) an. Die hier gezeigten Kompatibilitäten sind meist nur physikalisch, wobei die chemische Stabilität jedes Moleküls selten bewertet wird. Die Bewertung dieser Gemische wurde untersucht, um die Möglichkeit einer Verabreichung über eine Y-Verbindung zu berücksichtigen. Diese Daten können daher nicht zur Herstellung von Mischungen im Voraus in Beuteln oder Spritzen verwendet werden. Sie finden diese Informationen auf dem Bildschirm "Stabilität in Mischung».
Molekül Lösungsmittel Literaturverzeichnis

  Mentions Légales