Utolsó frissítés :
18/03/2026
Értágító   Isosorbide dinitrate  
Injekció
Az oldatok stabilitása A keverékek stabilitása Stabilitást befolyásoló tényezők Kompatibilitás Az alkalmazás módja Irodalom pdf
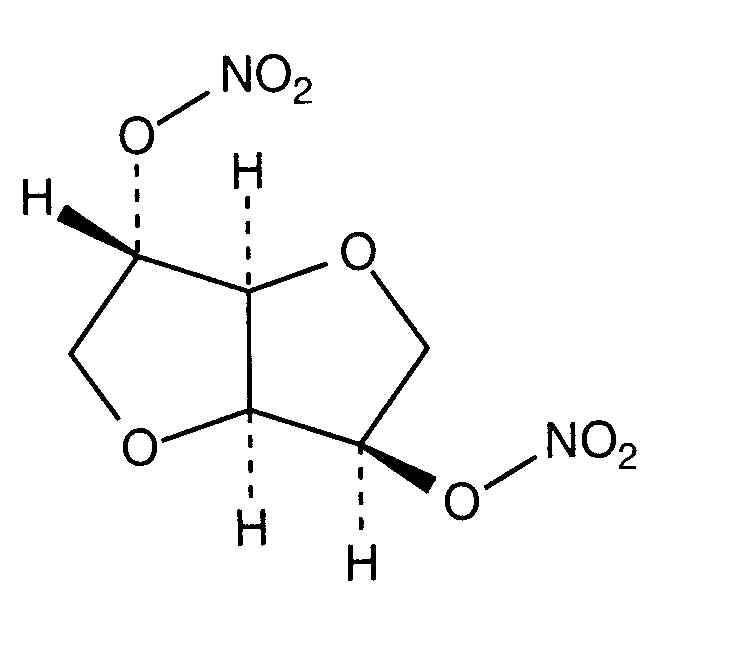
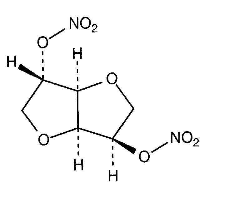
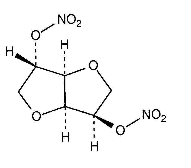
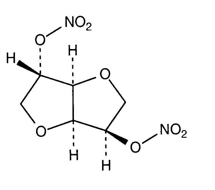
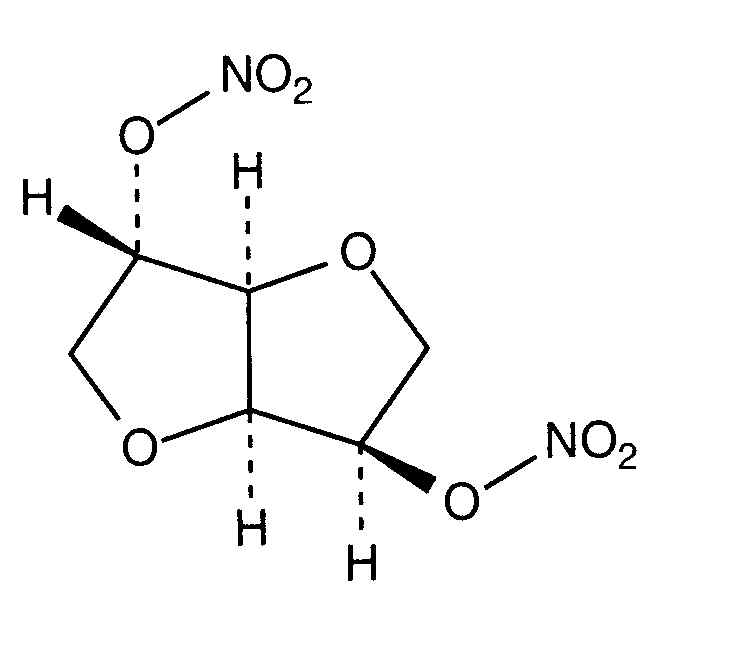
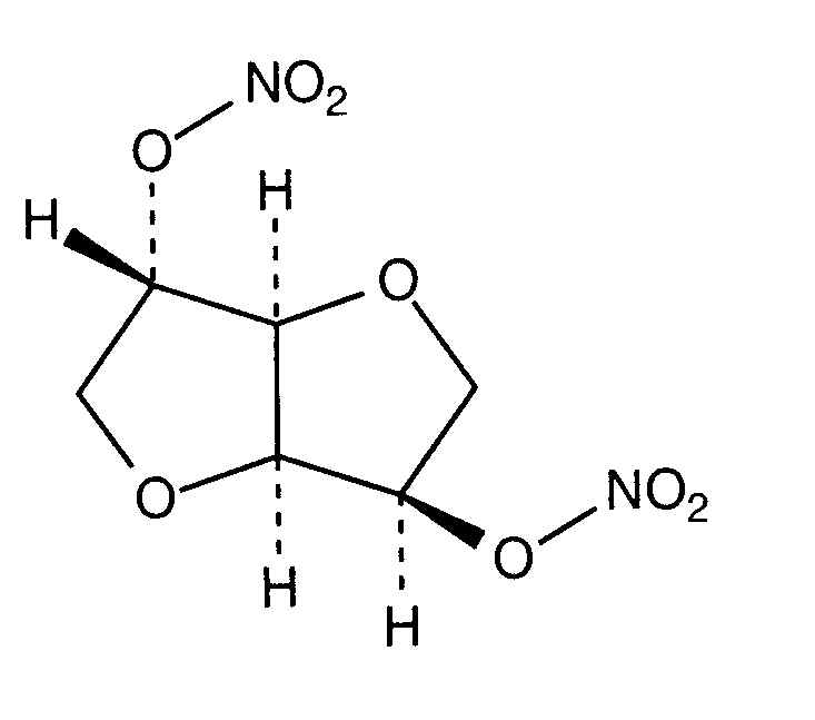
   Kémiai szerkezet   

Kereskedelmi név   Kereskedelmi név     

A kereskedelmi név meghatározó jelentőségű: a készítmények összetétele országonként, előállítóként eltérő lehet

Angsobide Malaysia
Cedocard Hollandia
Diniket Olaszország
Dinit Nagy-Britannia
Ekilbran Mexikó
Isoket Ausztria, Egyesült Arab Emírségek, Egyiptom, Írország, Lengyelország, Luxemburg, Malaysia, Mexikó, Nagy-Britannia, Peru, Portugália, Svájc, Szaúd-Arábiában, Venezuela
Isonit Ecuador, Peru
Nitrosid Finnország
Nitrosorbide Olaszország
Risordan Franciaország
Zanisor Mexikó
Kompatibilitás   Injekció   Kompatibilitás : Isosorbide dinitrate              
Ovdje su prikazane kompatibilnosti ili nekompatibilnosti s tipom nekompatibilnosti (taloženje, promjena boje, modifikacija emulzije itd.) u ovom slučaju. Kompatibilnosti prikazane ovdje najčešće su fizikalne dok se kemijska stabilnost molekule rijetko procjenjuje. Procjena ovih mikstura je proučavana kako bi se razmotrila mogućnost primjene lijeka putem Y-mjesta. Ovi se podaci ne smiju koristiti za pripremu mikstura unaprijed u vrećicama ili štrcaljkama. Ova vrsta informacije se može pronaći u odjeljku « stabilnost u miksturama ».
Vegyület Oldószer Irodalom

  Mentions Légales