Senaste uppdateringen :
27/11/2025
Infostab
Förteckning över substanser
Sammanfattande listor
Sök efter kompatibilitet
Kompatibilitetstabell
Hänvisningar
forskargrupper
valistab
Posters
Anslutningar
sponsorer
Författare
Användaranvisning
Nyhetsbladet
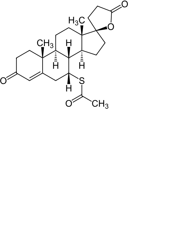
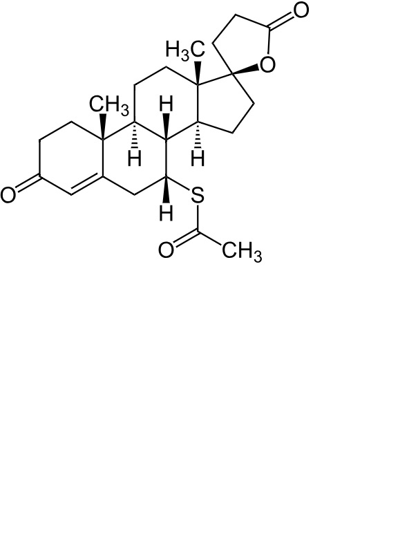
Spironolactone
Molekylstruktur
Stabilitet i blandningar : Spironolactone
Ingen uppgift
Mentions Légales