آخر تحديث :
27/11/2025
مدر للبول   Spironolactone  
المراهم
عن طريق الفم
استقرار المستحضرات الصيدلانية استقرار مخاليط العوامل التي تؤثر على الاستقرار التوافق مراجع pdf
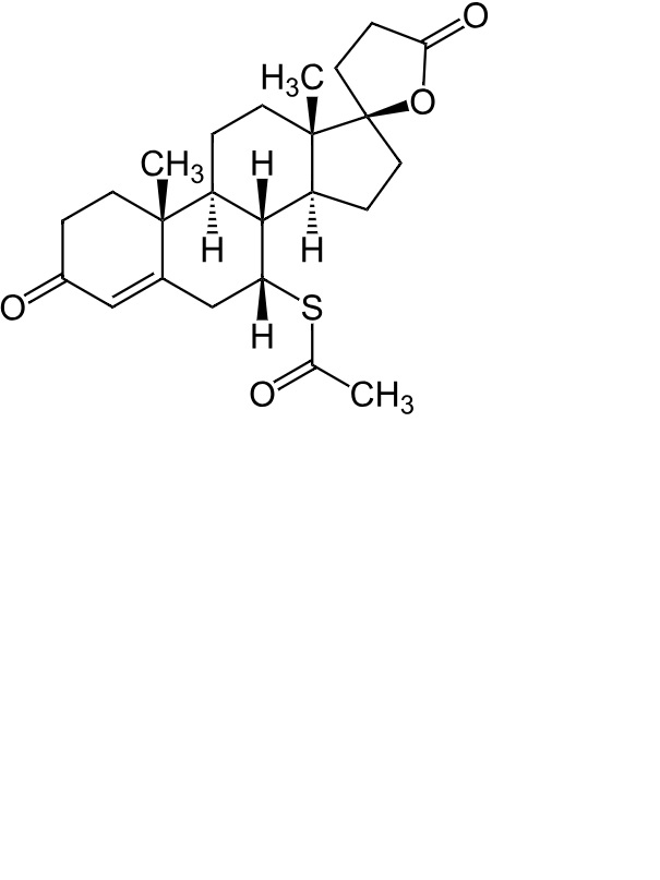
   التركيب الكيميائي  

المراهم
استقرار مخاليط   المراهم   استقرار مخاليط : Spironolactone     
لا توجد بيانات

  Mentions Légales