Last update :
18/03/2026
Diuretic   Spironolactone  
Ointments
Oral solution
Stability of pharmaceutical preparations Stability of mixtures Factors which affect stability Compatibility References pdf
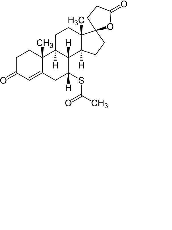
   Chemical structure  

Ointments
Stability of mixtures   Ointments   Stability of mixtures : Spironolactone     
No data

  Mentions Légales