Laatste update :
27/11/2025
Diureticum   Spironolactone  
zalf
Orale Oplossing
Stabiliteit van farmaceutische preparaten Stabiliteit in mengsels Factoren die de stabiliteit beïnvloeden Verenigbaarheden Literatuur pdf
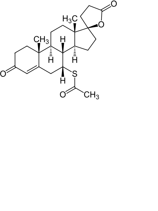
   Molecuulstructuur  

zalf
Stabiliteit in mengsels   zalf   Stabiliteit in mengsels : Spironolactone     
geen gegevens

  Mentions Légales