Posledná aktualizácia :
27/11/2025
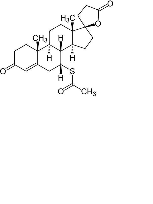
diuretikum   Spironolactone  
Dermálny prípravok
Perorálny roztok
Stabilita farmaceutických prípravkov Stabilita v zmesiach Faktory ovplyvňujúce stabilitu Kompatibility Odkazy na literatúru PDF
   Chemický vzorec  

Dermálny prípravok
Stabilita v zmesiach   Dermálny prípravok   Stabilita v zmesiach : Spironolactone     
žiadne údaje

  Mentions Légales