Zadnji put ažurirano :
27/11/2025
diuretici   Spironolactone  
masti
oralna otopina
Stabilnost farmaceutskih pripravaka Stabilnost mješavine Stabilizacijski faktor Kompatibilnosti Bibliografija pdf
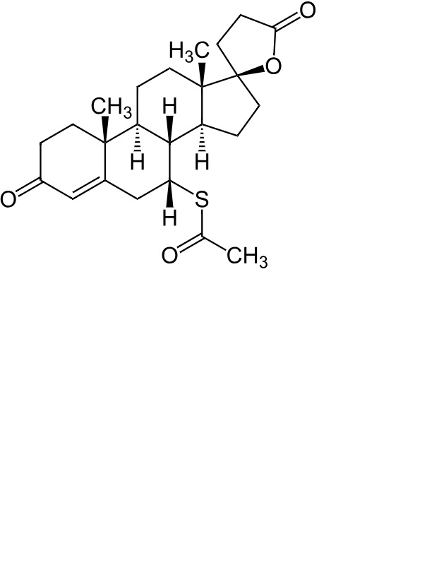
   Kemijska struktura  

masti
Stabilnost mješavine   masti   Stabilnost mješavine : Spironolactone     
bez podataka

  Mentions Légales