Siste oppdatering :
18/03/2026
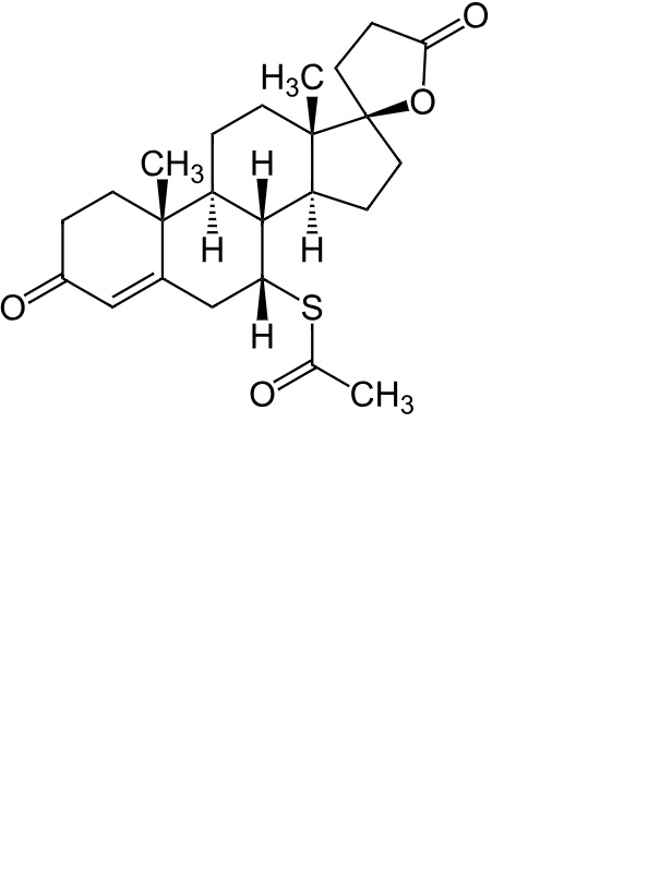
Diuretika   Spironolactone  
Salver
Mikstur
Stabilitet av farmasøytiske preparater Stabilitet i blandinger Faktorer som påvirker stabiliteten Kompatibilitet Referanser pdf
   Kjemisk struktur  

Salver
Stabilitet i blandinger   Salver   Stabilitet i blandinger : Spironolactone     
Ingen opplysninger

  Mentions Légales