Letztes “update” :
27/11/2025
Diuretikum   Spironolactone  
Salben
Lösung zum Einnehmen
Stabilität von pharmazeutischen Präparaten Gemengestabilität Stabilitätbeeinflussende Faktoren Kompatibilitäten Literaturverzeichnis pdf
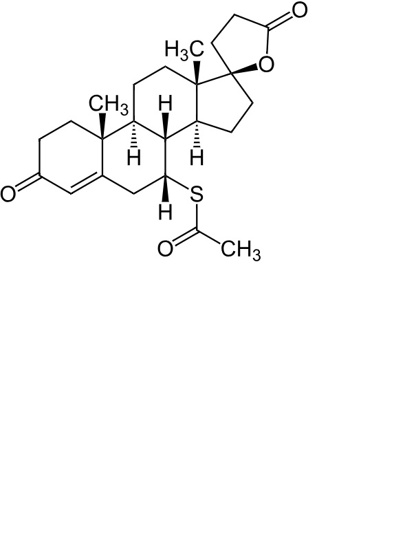
   Chemische Struktur  

Salben
Gemengestabilität   Salben   Gemengestabilität : Spironolactone     
Keine Daten

  Mentions Légales